www.Math24.ru
Математический Анализ
Главная
Математический анализ
Пределы и непрерывность
Дифференцирование
Интегрирование
Последовательности и ряды
Двойные интегралы
Тройные интегралы
Криволинейные интегралы
Поверхностные интегралы
Ряды Фурье
Дифференциальные уравнения
Уравнения 1-го порядка
Уравнения 2-го порядка
Уравнения N-го порядка
Системы уравнений
Формулы и таблицы
   Дифференциалы высшего порядка
Определение дифференциала высшего порядка
Рассмотрим функцию y = f(x), которая является дифференцируемой на интервале (a, b). Дифференциал первого порядка данной функции в точке x ∈ (a, b) определяется формулой
Видно, что дифференциал dy зависит от двух величин − от переменной x (через производную f'(x)) и от дифференциала независимой переменной dx.

Зафиксируем приращение dx, т.е. будем считать, что dx является постоянной величиной. Тогда дифференциал dy представляет собой функцию только переменной x, для которой можно также определить дифференциал, причем в качестве приращения Δx возьмем тот же самый дифференциал dx. В результате мы получим второй дифференциал или дифференциал второго порядка, который обозначается как d 2y или d 2f(x). Итак, по определению,
Обычно обозначают (dx)2 = dx2. Поэтому получаем:
Таким же образом можно установить, что третий дифференциал или дифференциал третьего порядка имеет вид
В общем случае дифференциал произвольного n-го порядка выражается формулой
которую можно строго доказать методом математической индукции. Отсюда, в частности, следует соотношение для производной n-го порядка:
Заметим, что для линейной функции y = ax + b второй дифференциал и последующие дифференциалы более высокого порядка равны нулю. Действительно,
В таком случае, очевидно, что
Свойства дифференциала n-го порядка
Пусть функции u и v имеют производные n-го порядка. Тогда справедливы следующие свойства:
Последнее равенство непосредственно следует из формулы Лейбница.
Дифференциал n-го порядка сложной функции
Рассмотрим теперь композицию двух функций, таких, что y = f(u) и u = g(x). В таком случае y является сложной функцией от независимой переменной x:
Первый дифференциал функции y записывается в виде
Вычислим второй дифференциал d 2y (считая dx по определению постоянной величиной). Используя правило дифференцирования произведения функций, получаем:
Учтем, что
Следовательно,
или в краткой форме
Полученные формулы показывают, что дифференциал второго порядка, в отличие от первого дифференциала, не обладает свойством инвариантности формы. В формуле для второго дифференциала появляется дополнительное слагаемое  y'd 2u.  Впрочем, в случае линейной функции  u = g(x) = ax + b  ее второй дифференциал равен
Поэтому для этого случая инвариантность формы второго дифференциала d 2y сохраняется.

   Пример 1
Найти дифференциал d 4y для функции y = x5.

Решение.
Дифференциал 4-го порядка выражается формулой
     
Найдем четвертую производную данной функции последовательным дифференцированием:
     
Следовательно,
     
   Пример 2
Дана функция . Найти d 2y.

Решение.
Вычислим первую и вторую производные заданной функции:
     
Тогда дифференциал второго порядка записывается в виде:
     
   Пример 3
Найти второй дифференциал функции y = x2cos 2x.

Решение.
Находим вторую производную заданной функции:
     
Дифференциал второго порядка записывается в виде:
     
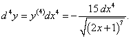
   Пример 4
Найти дифференциал 4-го порядка функции  y = √2x + 1.

Решение.
Последовательно дифференцируем данную функцию и находим ее 4-ую производную:
     
Следовательно, дифференциал 4-го порядка равен
     
   Пример 5
Найти d 3y для функции y = x2 ln x.

Решение.
Дифференциал 3-го порядка определяется соотношением:
     
Найдем производную 3-го порядка  f'''(x)  по формуле Лейбница:
     
Производные, входящие в записанный ряд, имеют вид
     
В результате получаем
     
Тогда дифференциал равен
     
   Пример 6
Дана функция . Найти d 2y.

Решение.
Вычислим вторую производную функции y:
     
     
Следовательно, дифференциал второго порядка имеет вид:
     
   Пример 7
Найти дифференциал 5-го порядка функции  y = x cos x.

Решение.
Вычислим сначала производную 5-го порядка. Воспользуемся для этого формулой Лейбница:
     
Производная косинуса произвольного k-го порядка определяется по следующей формуле (см. пример 7 на странице Производные высшего порядка):
     
Поскольку производная k-го порядка от x равна нулю при k > 1, то записанный ряд ограничивается лишь двумя членами и имеет следующий вид:
     
Таким образом, дифференциал 5-го порядка заданной функции записывается в виде
     
   Пример 8
Найти дифференциал d 8y для функции y = e xsin x.

Решение.
Указанный дифференциал записывается в виде
     
Поскольку функция y представляет собой произведение функций e x и sin x, то производную 8-го порядка можно найти по формуле Лейбница:
     
Входящие в этот ряд производные имеют следующий вид (см. пример 6 на странице Производные высшего порядка):
     
Тогда производная y(8) равна
     
Следовательно, дифференциал 8-го порядка записывается в виде
     
   Пример 9
Дана функция  y = sin x ch x Найти d 3y.

Решение.
Вычислим третью производную заданной функции, используя формулу Лейбница:
     
Запишем производные, входящие в данный ряд:
     
Следовательно, производная y''' выражается формулой:
     
Соответственно, дифференциал d 3y записывается в виде
     
   Пример 10
Найти второй дифференциал d 2y астроиды, заданной уравнением x2/3 + y2/3 = R2/3.

Решение.
Вычислим последовательно первую и вторую производные функции y(x), описывающей астроиду. Дифференцируя по x обе части заданного уравнения, получаем:
     
Дифференцируем еще раз, учитывая, что y − функция x:
     
Подставим найденное выше выражение для первой производной y':
     
Тогда выражение для второго дифференциала имеет вид:
     
   Пример 11
Функция задана в параметрической форме уравнениями
     
Найти дифференциал второго порядка d 2y.

Решение.
Определим дифференциал второго порядка по формуле
     
Найдем производную второго порядка y''(x). Сначала вычислим первую производную:
     
Вторая производная находится по формуле:
     
Вычислим также дифференциал dx2:
     
Таким образом, дифференциал 2-го порядка исходной функции равен
     
   Пример 12
Уравнение верхней полуокружности с центром в начале координат и радиусом R в параметрической форме имеет вид
     
Найти третий дифференциал d 3y данной функции.

Решение.
Вычислим последовательно производные 1-го, 2-го и 3-го порядка по переменной x:
     
Выразим дифференциал d 3y через переменную t:
     
Отсюда получаем:
     

Все права защищены © www.math24.ru, 2009-2014  
Сайт оптимизирован для Chrome, Firefox, Safari и Internet Explorer.