www.Math24.ru
Математический Анализ
Главная
Математический анализ
Пределы и непрерывность
Дифференцирование
Приложения производной
Интегрирование
Последовательности и ряды
Двойные интегралы
Тройные интегралы
Криволинейные интегралы
Поверхностные интегралы
Ряды Фурье
Дифференциальные уравнения
Уравнения 1-го порядка
Уравнения 2-го порядка
Уравнения N-го порядка
Системы уравнений
Формулы и таблицы
   Дифференциал функции
Определение дифференциала
Рассмотрим функцию y = f(x), которая является непрерывной в интервале [a, b]. Предположим, что в некоторой точке x0∈ [a, b] независимая переменная получает приращение Δx. Приращение функции Δy, соответствующее такому изменению аргумента Δx, выражается формулой
Для любой дифференцируемой функции приращение Δy можно представить в виде суммы двух слагаемых:
где первый член (т.н. главная часть приращения) линейно зависит от приращения Δx, а второй член имеет более высокий порядок малости относительно Δx. Выражение AΔx называется дифференциалом функции и обозначается символом dy или df(x0).
вычисление площади квадрата через дифференциал
определение дифференциала функции
Рис.1
Рис.2
Рассмотрим эту идею разбиения приращения функции Δy на две части на простом примере. Пусть задан квадрат со стороной x0 = 1 м (рисунок 1). Его площадь, очевидно, равна
Если сторону квадрата увеличить на Δx = 1 см, то точное значение площади увеличенного квадрата будет составлять
т.е. приращение площади ΔS равно
Представим теперь это приращение ΔS в таком виде:
Итак, приращение функции ΔS состоит из главной части (дифференциала функции), которая пропорциональна Δx и равна
и члена более высокого порядка малости, в свою очередь, равного
В сумме оба этих члена составляют полное приращение площади квадрата, равное 200 + 1 = 201 (см2).

Заметим, что в данном примере коэффициент A равен значению производной функции S в точке x0:
Оказывается, что для любой дифференцируемой функции справедлива следующая теорема:

Коэффициент A главной части приращения функции в точке x0 равен значению производной f'(x0) в этой точке, т.е. приращение Δy выражается формулой
Разделив обе части этого равенства на Δx ≠ 0, имеем
В пределе при Δx → 0 получаем значение производной в точке x0:
Здесь мы учли, что для малой величины ox) более высокого порядка малости, чем Δx, предел равен
Если считать, что дифференциал независимой переменной dx равен ее приращению Δx:
то из соотношения
следует, что
т.е. производную функции можно представить как отношение двух дифференциалов.
Геометрический смысл дифференциала функции
На рисунке 2 схематически показана разбивка приращения функции Δy на главную часть AΔx (дифференциал функции) и член высшего порядка малости ox).

Касательная MN, проведенная к кривой функции y = f(x) в точке M, как известно, имеет угол наклона α, тангенс которого равен производной:
При изменении аргумента на Δx касательная получает приращение AΔx. Это линейное приращение, образованное касательной, как раз и является дифференциалом функции. Остальная часть полного приращения Δy (отрезок NM1) соответствует "нелинейной" добавке с более высоким порядком малости относительно Δx.
Свойства дифференциала
Пусть u и v − функции переменной x. Дифференциал обладает следующими свойствами:
  1. Постоянный коэффициент можно выносить за знак дифференциала:
    d(Cu) = Cdu, где C − постоянное число.
  2. Дифференциал суммы (разности) функций:
    d(u ± v) = du ± dv.
  3. Дифференциал постоянной величины равен нулю:
    d(С) = 0.
  4. Дифференциал независимой переменной x равен ее приращению:
    dx = Δx.
  5. Дифференциал линейной функции равен ее приращению:
    d(ax + b) = Δ(ax + b) = aΔx.
  6. Дифференциал произведения двух функций:
    d(uv) = duv + udv.
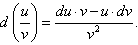
  7. Дифференциал частного двух функций:
  8. Дифференциал функции равен произведению производной на дифференциал аргумента:
    dy = df(x) = f '(x)dx.

Как видно, дифференциал функции dy отличается от производной лишь множителем dx. Например,
и так далее.
Инвариантность формы дифференциала
Рассмотрим композицию двух функций y = f(u) и u = g(x), т.е. сложную функцию y = f(g(x)). Ее производная определяется выражением
где нижний индекс обозначает переменную, по которой производится дифференцирование.

Дифференциал "внешней" функции y = f(u) записывается в виде
Дифференциал "внутренней" функции u = g(x) можно представить аналогичным образом:
Если подставить du в предыдущую формулу, то получим
Поскольку  y'x = y'uu'x, то
Видно, что в случае сложной функции мы получили такое же по форме выражение для дифференциала функции, как и в случае "простой" функции. Это свойство называется инвариантностью формы дифференциала.

   Пример 1
Найти дифференциал функции  y = sin xx cos x.

Решение.
Найдем производную заданной функции:
     
Дифференциал имеет следующий вид:
     
   Пример 2
Найти дифференциал функции в точке x = 1.

Решение.
Находим производную и вычисляем ее значение в заданной точке:
     
Тогда
     
   Пример 3
Найти дифференциал функции y = 2x2 + 3x + 1 в точке x = 1 при dx = 0.1

Решение.
     
Подставляя заданные значения, вычисляем дифференциал:
     
   Пример 4
Вычислить приращение и дифференциал функции y = x2x + 1 в точке x = 2 при Δx = 1.

Решение.
Определим приращение функции по формуле
     
Поскольку здесь x + Δx = 2 + 1 = 3, то получаем
     
Дифференциал (или линейная часть приращения) при этом составляет:
     
   Пример 5
Найти дифференциал функции  y = xxe2x  в точке x = 1.

Решение.
     
Производная функции xx равна
     
Следовательно, производная исходной функции имеет вид:
     
При x = 1, соответственно, получаем:
     
Тогда дифференциал функции в данной точке записывается как
     
   Пример 6
Найти дифференциал функции в точке x = 1/2 при dx = 0,01.

Решение.
     
Подставляем значения x и dx и вычисляем дифференциал dy:
     
   Пример 7
Вычислить приращение и дифференциал функции в точке x = 0 при Δx = 0,1.

Решение.
Найдем сначала приращение функции:
     
При тех же значениях x и Δx дифференциал функции равен
     
   Пример 8
Найти дифференциал функции , где u и v − дифференцируемые функции переменной x.

Решение.
Используя правила дифференцирования, получаем:
     
   Пример 9
Найти дифференциал функции , где u и v − дифференцируемые функции от x.

Решение.
     
где v2 > u2,  v ≠ 0.

   Пример 10
Функция y(x) задана неявным уравнением  y3 − 3xy + x3 = 3. Найти ее дифференциал в точке (2, 1).

Решение.
Определим производную неявной функции. Дифференцируя обе части по x, получаем:
     
В точке (2, 1) производная y' имеет значение
     
Соответственно, дифференциал в этой точке записывается как
     
   Пример 11
Функция y(x) задана неявным уравнением  x2 − √y ln y = 1.  Найти ее дифференциал в точке (1, 1).

Решение.
Дифференцируем обе части уравнения по x и находим производную y':
     
Вычислим значение производной в заданной точке (1, 1):
     
Дифференциал функции в этой точке равен
     
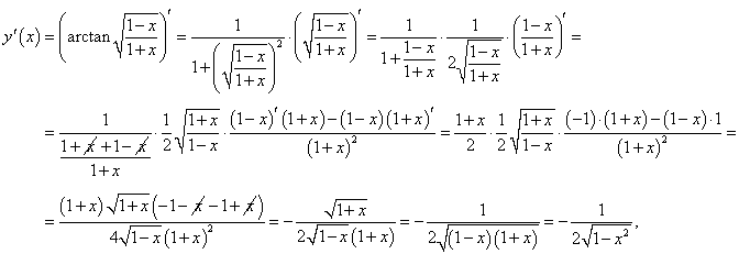
   Пример 12
Найти дифференциал функции .

Решение.
Поскольку дифференциал функции выражается формулой
     
то для его нахождения достаточно вычислить производную y'(x). Дифференцируя как сложную функцию, получаем:
     
где  −1 < x < 1. Соответственно, дифференциал функции записывается в виде
     
   Пример 13
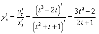
Функция y(x) задана параметрическими уравнениями
     
Найти дифференциал функции в точке (3, −1).

Решение.
Из уравнения  3 = t2 + t +1  определяем соответствующее значение параметра t:
     
Проверим, что условию y = −1 удовлетворяет значение t = 1.

Найдем производную y'x параметрически заданной функции:
     
При t = 1 производная имеет следующее значение:
     
Таким образом, дифференциал функции в точке (3, −1) выражается формулой
     
   Пример 14
Функция y(x) задана параметрическими уравнениями
     
Найти дифференциал функции в точке (2, e).

Решение.
Сначала определим значение параметра t, которое соответствует точке (2, e). Из второго уравнения находим:
     
Проверим значение x при t = 0:
     
Найдем производную параметрически заданной функции:
     
При t = 0 производная, соответственно, равна
     
Следовательно, дифференциал функции в точке (2, e) имеет вид:
     
   Пример 15
Дана сложная функция y = ln u, u = cos x. Выразить дифференциал функции y в инвариантной форме.

Решение.
Запишем дифференциал "внешней" функции:
     
Аналогично найдем дифференциал "внутренней" функции:
     
Подставляя выражение для du в предыдущую формулу, получим дифференциал dy в инвариантной форме:
     

Все права защищены © www.math24.ru, 2009-2014  
Сайт оптимизирован для Chrome, Firefox, Safari и Internet Explorer.