| 
                   Производная сложной функции
               | 
          
            |  | 
          
            | 
                Рассмотрим сначала понятие сложной функции . Пусть функция g  определена на множестве X  и может принимать значения в множестве U . В таком случае говорят, что функция g  отображает множество X  в U , а сама функция записывается как
                 Представим теперь, что на множестве U  задана другая функция f , которая отображает множество U  в Y :
                 Такое двойное отображение, при котором область значений первого отображения является подмножеством области определения второго отображения, называется композицией отображений , а соответствующие функции образуют композицию функций .
                 
                Если g : X → U  и f : U → Y , то композиция функций g  и f  обозначается как
                 и представляет собой "двухслойную" сложную функцию или функцию от функции.
                 
                Если f  и g  - дифференцируемые функции, то сложная функция    также дифференцируема по x  и ее производная равна
                 Данная формула показывает, что производная сложной функции равна произведению производной внешней функции на производную от внутренней функции. Важно иметь ввиду, что производная внутренней функции вычисляется в точке x , а производная внешней функции - в точке u = g(x) !
                 
                Докажем приведенную формулу.
                 
                Возьмем произвольную точку x0 . Будем считать, что функция u = g(x)  дифференцируема в точке x0 , а функция y = f(u) , соответственно, дифференцируема в точке u0 = g(x0) . Это означает, что в указанных точках существуют производные g' (x ) и f' (u ), а функции g (x ) и f (u ) являются непрерывными в некоторой окрестности этих точек.
                 
                Производная внешней функции y = f(u)  в точке u0  записывается через предел в виде
                 Это выражение можно переписать в такой форме:
                 где ошибка ε (Δu ) зависит от приращения Δu  и выполняется условие
                 Разделим выражение для Δy  на приращение внутренней переменной Δx ≠ 0 :
                 Поскольку внутренняя функция u = g(x)  дифференцируема в точке x0 , то
                 Заметим также, что    в силу непрерывности функции u (x ) и, следовательно,
                 В результате производная сложной функции в точке x0  выражается следующей формулой:
                 Данное правило дифференцирования легко обобщается на случай композитных функций, состоящих из трех и более функций. Так, например, производная "трехслойной" сложной функции  y = f (g(h(x)))  находится по формуле
                 Можно заметить, что производная сложной функции представляется в виде последовательного произведения производных составляющих функций, причем аргументы функций согласованы (сцеплены) таким образом, что значение внутренней функции служит аргументом для следующей за ней внешней функции. Поэтому правило дифференцирования сложной функции часто называют "цепным правилом" (chain rule).
                 
                В примерах 1−50 найти производные заданных функций:
                
               | 
          
            | 
                   Пример 1
               | 
          
            |  | 
          
            |  | 
          
            | 
                   Пример 2
               | 
          
            |  | 
          
            |  | 
          
            | 
                   Пример 3
               | 
          
            |  | 
          
            |  | 
          
            | 
                   Пример 4
               | 
          
            |  | 
          
            | 
                
                        y = cos(3x + 2).
                 
                  Решение.
                 | 
          
            | 
                   Пример 5
               | 
          
            |  | 
          
            | 
                
                        y = tan 2x.
                 
                  Решение.
                 Область определения:
                 | 
          
            | 
                   Пример 6
               | 
          
            |  | 
          
            |  | 
          
            | 
                   Пример 7
               | 
          
            |  | 
          
            |  | 
          
            | 
                   Пример 8
               | 
          
            |  | 
          
            | 
                
                        y = 3cos x.
                 
                  Решение.
                 Поскольку   , то по правилу производной сложной функции получаем
                 | 
          
            | 
                   Пример 9
               | 
          
            |  | 
          
            | 
                
                        y = ln sin x.
                 
                  Решение.
                 Заметим, что данная функция определена при условии 2πn < x < π + 2πn,  n ∈ Z .
                
               | 
          
            | 
                   Пример 10
               | 
          
            |  | 
          
            | 
                
                        y = ln tan x.
                 
                  Решение.
                 Данная функция существует при условии πn < x < π/2 + πn,  n ∈ Z . Ее производная равна
                 | 
          
            | 
                   Пример 11
               | 
          
            |  | 
          
            | 
                
                
                  Решение.
                 Используя формулу для производной квадратного корня и правило дифференцирования сложной функции, получаем:
                 | 
          
            | 
                   Пример 12
               | 
          
            |  | 
          
            | 
                
                
                  Решение.
                 Дважды применяя формулу дифференцирования сложной функции, имеем:
                 Исходная функция и ее производная определены при условии
                 | 
          
            | 
                   Пример 13
               | 
          
            |  | 
          
            | 
                
                        y = ln ln x.
                 
                  Решение.
                 В данном примере область определения функции и ее производной определяется условием ln x > 0   или   x > 1. | 
          
            | 
                   Пример 14
               | 
          
            |  | 
          
            |  | 
          
            | 
                   Пример 15
               | 
          
            |  | 
          
            | 
                
                
                  Решение.
                 Используя формулу табличной производной
                 и применяя правило дифференцирования сложной функции, имеем:
                 | 
          
            | 
                   Пример 16
               | 
          
            |  | 
          
            | 
                
                        y = esin x.
                 
                  Решение.
                 Используя формулу для производной экспоненциальной функции
                 и дифференцируя как сложную функцию, получаем:
                 | 
          
            | 
                   Пример 17
               | 
          
            |  | 
          
            |  | 
          
            | 
                   Пример 18
               | 
          
            |  | 
          
            | 
                Найти значение производной функции y = sin x/3  при x = 2π. 
                  Решение.
 Производная данной функции равна:
                 Подставляя значение x = 2π,  получаем
                 | 
          
            | 
                   Пример 19
               | 
          
            |  | 
          
            | 
                
                
                  Решение.
                 Известно, что производная арктангенса равна
                 Следовательно,
                 | 
          
            | 
                   Пример 20
               | 
          
            |  | 
          
            | 
                
                
                  Решение.
                 Далее в числителе можно применить основное тригонометрическое тождество, а знаменатель упростить по формуле двойного угла:
                 Область определения заданной функции содержит любые значения x , исключая следующие точки: x ≠ πn,  n ∈ Z. | 
          
            | 
                   Пример 21
               | 
          
            |  | 
          
            | 
                
                
                  Решение.
                 Дважды применяя правило дифференцирования сложной функции, имеем:
                 Производная данной функции не определена в точках, где знаменатель обращается в нуль, т.е. при условии
                 | 
          
            | 
                   Пример 22
               | 
          
            |  | 
          
            | 
                
                        y = sin (ln cos x).
                 
                  Решение.
                 Данная функция существует при условии
                 Двукратное применение правила дифференцирования сложной функции приводит к следующему выражению для производной:
                 | 
          
            | 
                   Пример 23
               | 
          
            |  | 
          
            | 
                
                
                  Решение.
                 Сначала дифференцируем как произведение функций:
                 Последнюю производную находим по правилу дифференцирования сложной функции:
                 | 
          
            | 
                   Пример 24
               | 
          
            |  | 
          
            | 
                
                
                  Решение.
                 Применяя правила дифференцирования сложной функции и частного, получаем:
                 | 
          
            | 
                   Пример 25
               | 
          
            |  | 
          
            |  | 
          
            | 
                   Пример 26
               | 
          
            |  | 
          
            | 
                
                
                  Решение.
                 Учтем, что
                 Следовательно,
                 | 
          
            | 
                   Пример 27
               | 
          
            |  | 
          
            | 
                
                        y = (5x + 2)13 − (6x + 7)10.
                 
                  Решение.
                 Применяя формулы для производной разности функций, степенной и сложной функции, получаем следующее выражение для производной:
                 | 
          
            | 
                   Пример 28
               | 
          
            |  | 
          
            |  | 
          
            | 
                   Пример 29
               | 
          
            |  | 
          
            | 
                
                
                  Решение.
                 Применим формулы производной сложной функции и производной частного:
                 | 
          
            | 
                   Пример 30
               | 
          
            |  | 
          
            | 
                
                        y = sin x3 cos x2.
                 
                  Решение.
                 Дифференцируя сначала по формуле производной произведения двух функций и затем применяя правило дифференцирования сложной функции, имеем:
                 | 
          
            | 
                   Пример 31
               | 
          
            |  | 
          
            | 
                
                
                  Решение.
                 Дифференцируем дважды как сложную функцию:
                 | 
          
            | 
                   Пример 32
               | 
          
            |  | 
          
            | 
                
                
                  Решение.
                 Производная от арксинуса относится к табличным производным и равна
                 Используя правило дифференцирования сложной функции, можно записать следующее выражение:
                 Учтем, что    и, следовательно, |x|2 = x2.  Тогда
                 Область определения функции и производной имеет вид: x ∈ (−∞, −1) ∪ (1, +∞). | 
          
            | 
                   Пример 33
               | 
          
            |  | 
          
            | 
                
                
                  Решение.
                 Применяя правила дифференцирования произведения функций и сложной функции, получаем:
                 | 
          
            | 
                   Пример 34
               | 
          
            |  | 
          
            | 
                
                
                  Решение.
                 Предполагая, что x ≠ 1 , найдем производную заданной функции:
                 По правилу дифференцирования частного находим:
                 | 
          
            | 
                   Пример 35
               | 
          
            |  | 
          
            | 
                
                        y = sin4 x + cos4 x.
                 
                  Решение.
                 Далее, используя формулы двойного угла, получаем более простой ответ:
                 | 
          
            | 
                   Пример 36
               | 
          
            |  | 
          
            | 
                
                
                  Решение.
                 Учитывая, что
                 по правилу дифференцирования сложной функции находим:
                 | 
          
            | 
                   Пример 37
               | 
          
            |  | 
          
            | 
                
                
                  Решение.
                 Данная функция определена при x ∈ (−∞, −a] ∪ [a, ∞) .  Учитывая, что
                 по правилу дифференцирования сложной функции получаем:
                 | 
          
            | 
                   Пример 38
               | 
          
            |  | 
          
            | 
                
                
                  Решение.
                 Производная арккотангенса является табличной производной:
                 Тогда, дифференцируя заданную функцию как сложную, находим:
                 | 
          
            | 
                   Пример 39
               | 
          
            |  | 
          
            | 
                
                
                  Решение.
                 Применяя дважды правило дифференцирования сложной функции, имеем:
                 Данная функция и ее производная существуют при условии x ≠ πn,   n ∈ Z . | 
          
            | 
                   Пример 40
               | 
          
            |  | 
          
            | 
                
                
                  Решение.
                 Область определения заданной функции определяется следующим условием:
                 Дифференцируя функцию как "трехслойную" композитную функцию, получаем:
                 | 
          
            | 
                   Пример 41
               | 
          
            |  | 
          
            | 
                
                
                  Решение.
                 Область определения данной функции удовлетворяет неравенству |x| > 1.  Дифференцируя как сложную функцию и упрощая, получаем следующее выражение для производной:
                 | 
          
            | 
                   Пример 42
               | 
          
            |  | 
          
            | 
                
                
                  Решение.
                 Сначала найдем производную произведения:
                 Далее, по формуле производной сложной функции получаем
                 | 
          
            | 
                   Пример 43
               | 
          
            |  | 
          
            | 
                
                
                  Решение.
                 Дифференцируя аргумент логарифма как сложную функцию, имеем:
                 Можно убедиться, что в данном случае функция и производная существуют при любом действительном x .
                
               | 
          
            | 
                   Пример 44
               | 
          
            |  | 
          
            | 
                
                
                  Решение.
                 Здесь мы опять имеем дело с "трехслойной" функцией. Поэтому дважды применяем формулу производной сложной функции. В итоге получаем следующее выражение для производной:
                 | 
          
            | 
                   Пример 45
               | 
          
            |  | 
          
            | 
                
                
                  Решение.
                 Очевидно, что здесь x ≠ π/2 + πn, n ∈ Z . Используя правила дифференцирования частного двух функций и сложной функции, находим:
                 | 
          
            | 
                   Пример 46
               | 
          
            |  | 
          
            | 
                
                
                  Решение.
                 Дифференцируя дважды как сложную функцию, получаем:
                 Область определения данной функции и производной удовлетворяет условию:
                 | 
          
            | 
                   Пример 47
               | 
          
            |  | 
          
            | 
                
                        y = x[sin (ln x) − cos (ln x)].
                 
                  Решение.
                 Применяя формулы производных произведения и разности функций и правило дифференцирования сложной функции, имеем:
                 | 
          
            | 
                   Пример 48
               | 
          
            |  | 
          
            | 
                
                
                  Решение.
                 Здесь мы встречаемся с "четырехслойной" сложной функцией. Ее производная равна
                 Данная функция и ее производная определены при −1 < x < 1. | 
          
            | 
                   Пример 49
               | 
          
            |  | 
          
            | 
                
                
                  Решение.
                 Используя правила дифференцирования разности функций, суммы функций и сложной функции, находим:
                 После приведения к общему знаменателю получаем
                 Данная функция и ее производная существуют при x ≥ −1 .
                
               | 
          
            | 
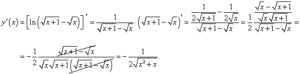
                   Пример 50
               | 
          
            |  | 
          
            | 
                
                
                  Решение.
                 Данную функцию можно рассматривать как "трехслойную" сложную функцию. Ее производная имеет следующий вид:
                 Упростим последнее выражение по формуле двойного угла:
                 Наконец, используя формулу приведения, получаем окончательный ответ:
                 Найдем область определения функции. Она определяется условием
                 Следовательно,
                 
                   
                 | 
          
            |  |