| 
                   Производные высшего порядка
               | 
          
            |  | 
          
            | 
                
                  Производные высшего порядка явно заданной функции
                 Пусть функция y = f(x)  имеет конечную производную f '(x)  в некотором интервале (a, b) , т.е. производная f '(x)  также является функцией в этом интервале. Если эта функция дифференцируема, то мы можем найти вторую производную  исходной функции f , которая обозначается в виде
                 Аналогично, если f ''  существует и дифференцируема, мы можем вычислить третью производную  функции f :
                 Производные более высокого порядка (если они существуют) определяются как
                 Таким образом, понятие производной n -го порядка вводится индуктивно путем последовательного вычисления n  производных, начиная с производной первого порядка. Переход к производной следующего, более высокого порядка производится с помощью рекуррентной формулы
                 В ряде случаев можно вывести общую формулу для производной произвольного n -го порядка без вычисления промежуточных производных. Некоторые такие примеры рассмотрены ниже.
                 
                Отметим, что для нахождения производных высшего порядка можно использовать следующие линейные соотношения:
                 
                  Производные высшего порядка неявно заданной функции
                 Производная n -го порядка неявно заданной функции  находится последовательным (n  раз) дифференцированием уравнения F(x, y) = 0 . На каждом шаге, после соответствующих подстановок и преобразований, можно получить явное выражение для производной, зависящее лишь от переменных x, y , т.е. производные имеют вид
                 
                  Производные высшего порядка функции, заданной параметрически
                 Рассмотрим функцию y = f(x) , заданную параметрически  с помощью двух уравнений
                 Первая производная данной функции выражается формулой
                 Дифференцируя еще раз по x , находим производную второго порядка:
                 Аналогично определяются производные третьего и более высокого порядка:
                 | 
          
            | 
                   Пример 1
               | 
          
            |  | 
          
            | 
                Найти y'' , если y(x) = x ln x .
                 
                  Решение.
 Вычислим первую производную, дифференцируя функцию как произведение:
                 Теперь найдем производную второго порядка:
                 | 
          
            | 
                   Пример 2
               | 
          
            |  | 
          
            | 
                Найти вторую производную функции   .
                 
                  Решение.
 Сначала вычислим первую производную:
                 Дифференцируем еще раз:
                 | 
          
            | 
                   Пример 3
               | 
          
            |  | 
          
            | 
                Вычислить y''  для параболы y2 = 4x .
                 
                  Решение.
 Дифференцируя как неявную функцию, имеем
                 Дифференцируя еще раз и используя формулу для производной произведения, получаем
                 Умножим обе части на y 2 : Поскольку yy' = 2 , и следовательно, (yy' )2 = 4 , то последнее уравнение записывается в виде:
                 Отсюда следует, что
                 | 
          
            | 
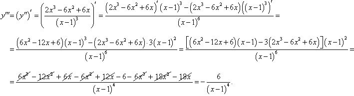
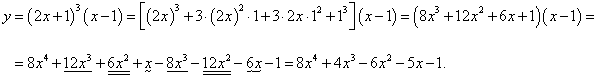
                   Пример 4
               | 
          
            |  | 
          
            | 
                Дана функция y = (2x + 1)3(x − 1) . Найти все производные n -го порядка с n = 1  до n = 5 .
                 
                  Решение.
 Преобразуем сначала заданную функцию в многочлен:
                 Теперь последовательно вычислим производные с 1-го до 5-го порядка:
                 | 
          
            | 
                   Пример 5
               | 
          
            |  | 
          
            | 
                Найти производную n -го порядка функции натурального логарифма y = ln x .
                 
                  Решение.
 Вычислим несколько последовательных производных заданной функции:
                 Отсюда видно, что производная произвольного n -го порядка выражается формулой
                 Строгое обоснование этой формулы можно получить, используя метод математической индукции.
                
               | 
          
            | 
                   Пример 6
               | 
          
            |  | 
          
            | 
                Определить все производные синуса.
                 
                  Решение.
 Вычислим несколько первых производных:
                 Очевидно, что производная n- го порядка выражается формулой
                 Строгое доказательство этой формулы можно выполнить методом математической индукции.
                
               | 
          
            | 
                   Пример 7
               | 
          
            |  | 
          
            | 
                Определить все производные косинуса.
                 
                  Решение.
 Аналогично примеру 6, найдем последовательно несколько первых производных функции косинус:
                 Ясно, что следующая производная 5-го порядка совпадает с первой производной, 6-ая − со 2-ой и так далее. Таким образом, производная n -го порядка функции косинус описывается формулой
                 | 
          
            | 
                   Пример 8
               | 
          
            |  | 
          
            | 
                Найти все производные функции   .
                 
                  Решение.
 Найдем сначала несколько первых производных.
                 Этого достаточно, чтобы обнаружить общий "паттерн":
                 | 
          
            | 
                   Пример 9
               | 
          
            |  | 
          
            | 
                Найти вторую производную функции   .
                 
                  Решение.
 Дифференцируя как сложную функцию , найдем первую производную:
                 Представим здесь |x | как x sign x , где
                 Тогда
                 Вычислим теперь вторую производную, дифференцируя предыдущее выражение как частное двух функций :
                 | 
          
            | 
                   Пример 10
               | 
          
            |  | 
          
            | 
                Найти третью производную функции   .
                 
                  Решение.
 Дифференцируем последовательно заданную функцию:
                 | 
          
            | 
                   Пример 11
               | 
          
            |  | 
          
            | 
                Найти вторую производную неявно заданной функции x2 + y2 = R2  (каноническое уравнение окружности ).
                 
                  Решение.
 Учитывая, что y  − функция переменной x  и дифференцируя обе части уравнения, находим первую производную:
                 Продифференцируем полученное выражение еще раз:
                 Подставляя в последнюю формулу первую производную y' , имеем:
                 | 
          
            | 
                   Пример 12
               | 
          
            |  | 
          
            | 
                Найти производную n -го порядка функции y = 32x+1. 
                  Решение.
 Вычислим последовательно несколько производных, начиная с производной первого порядка.
                 Отсюда следует, что производная n -го порядка выражается формулой
                 Строгое доказательство можно провести методом математической индукции. Очевидно, что данная формула справедлива при n = 1 . Предположим, что она верна при n = k : Тогда при n = k + 1  имеем:
                 т.е. формула справедлива и при n = k + 1 . Следовательно, она верна для любого натурального числа n .
                
               | 
          
            | 
                   Пример 13
               | 
          
            |  | 
          
            | 
                Найти производную n -го порядка степенной функции y = xm,  где m  − действительное число.
                 
                  Решение.
 Вычислим последовательно несколько первых производных:
                 Отсюда легко установить общее выражение для производной n -го порядка:
                 Докажем это методом математической индукции. Очевидно, что данная формула справедлива для n = 1 . Полагая, что она верна для степени n , продифференцируем ее еще раз и найдем производную (n + 1)-го  порядка:
                 Как видно, производная (n + 1)-го  порядка выражается такой же формулой, как и производная n -го порядка (только число n  заменяется числом n + 1 ). Следовательно, полученное выражение справедливо для любого натурального значения n  (n  − порядок производной).
                 
                Заметим, что показатель степени m , вообще говоря, является действительным числом. Если рассматривать лишь натуральные значения m , то формулу для производной можно записать в более компактном виде:
                 где n ≤ m . Все остальные производные порядка n > m  будут равны нулю.
                
               | 
          
            | 
                   Пример 14
               | 
          
            |  | 
          
            | 
                Найти производную n -го порядка от квадратного корня y = √x .
                 
                  Решение.
 Воспользуемся результатом примера 13, где выведена производная n -го порядка степенной функции с произвольным действительным показателем m . В данном случае имеем
                 Тогда производная записывается в виде
                 При n = 1  производная равна
                 При условии n ≥ 2  произведение нечетных чисел в квадратных скобках можно записать через двойной факториал :
                 Следовательно, при n ≥ 2  производная n -го порядка выражается общей формулой
                 В частности,
                 | 
          
            | 
                   Пример 15
               | 
          
            |  | 
          
            | 
                Найти производную n -го порядка от кубического корня   .
                 
                  Решение.
 Первая производная кубического корня выражается формулой
                 Далее используем общую формулу для производной n -го порядка степенной функции y = xm  (пример 13):
                 В нашем случае m = 1/3 . Следовательно, производная имеет такой вид:
                 где n ≥ 2 . В частности, вторая и третья производные кубического корня выражаются формулами
                 | 
          
            | 
                   Пример 16
               | 
          
            |  | 
          
            | 
                Найти первую и вторую производные по переменной x  от функции, заданной параметрически:
                 
                  Решение.
 Вычислим первую производную y'x  по формуле :
                 Следовательно,
                 Дифференцируя еще раз, найдем вторую производную по x :
                 Вычислим отдельно производную в числителе:
                 Поскольку производная в знаменателе равна
                 то получаем следующее выражение для второй производной исходной функции:
                 | 
          
            | 
                   Пример 17
               | 
          
            |  | 
          
            | 
                Дано уравнение эллипса  в параметрической форме:
                 где a, b  − полуоси эллипса, t  − параметр. Найти первую, вторую и третью производные от функции y  по переменной x .
                 
                  Решение.
 Дифференцируя последовательно заданную параметрическую функцию, получаем:
                 | 
          
            | 
                   Пример 18
               | 
          
            |  | 
          
            | 
                Найти третью производную функции, заданной уравнением x2 + 3xy + y2 = 1 .
                 
                  Решение.
 Однократное дифференцирование по переменной x  приводит к следующему выражению:
                 Продифференцируем последнюю формулу еще раз, рассматривая y  как сложную функцию:
                 Подставим полученное ранее явное выражение для первой производной y' :
                 Поскольку x2 + 3xy + y2 = 1 , то получаем следующее выражение для второй производной y'' :
                 Аналогично, дифференцируя еще раз, найдем третью производную:
                 Снова подставляем первую производную и находим:
                 | 
          
            | 
                   Пример 19
               | 
          
            |  | 
          
            | 
                Найти вторую производную функции, заданной уравнением x + y = e x − y .
                 
                  Решение.
 Дифференцируя обе части по x , получаем:
                 Продолжая дифференцирование, находим вторую производную:
                 Подставляем выражение для первой производной:
                 Теперь учтем исходное уравнение, согласно которому
                 В результате получаем следующее выражение для производной y'' :
                 | 
          
            | 
                   Пример 20
               | 
          
            |  | 
          
            | 
                Кривая описывается неявным уравнением xy = 2x3 − y2  и проходит через точку (1, 1) . Найти первую и вторую производные в данной точке.
                 
                  Решение.
 Вычислим первую производную:
                 Дифференцируя еще раз, находим значение второй производной в заданной точке:
                 Подставляем известные значения x , y , y' :
                 
                   
                 | 
          
            |  |