| 
                   Производная функции, заданной параметрически
               | 
          
            |  | 
          
            | 
                Зависимость между аргументом x  и функцией y  может быть задана в параметрическом виде  с помощью двух уравнений
                 где переменная t  называется параметром . Так, например, две функции
                 описывают в параметрическом виде уравнение окружности с центром в начале координат и радиусом R . Параметр t  при этом изменяется от 0 до 2π .
                 
                Найдем выражение для производной параметрически заданной функции. Предположим, что функции x = x(t)  и y = y(t)  дифференцируемы в интервале α < t < β,  причем x' (t) ≠ 0.  Кроме того, будем считать, что функция x = x(t)  имеет обратную функцию t = φ(x). 
                По теореме о производной обратной функции  можно записать
                 Исходную функцию y (x ) можно рассматривать как сложную функцию:
                 Тогда ее производная равна
                 Данная формула позволяет находить производную параметрически заданной функции, не выражая зависимость y (x ) в явном виде.
                 
                В приведенных ниже примерах найти производную параметрически заданной функции.
                
               | 
          
            | 
                   Пример 1
               | 
          
            |  | 
          
            | 
                
                        x = t 2,  y = t 3.
                 
                  Решение.
                 Находим производные x  и y  по параметру t :
                 Следовательно,
                 | 
          
            | 
                   Пример 2
               | 
          
            |  | 
          
            | 
                
                        x = 2t + 1,  y = 4t − 3.
                 
                  Решение.
                 Следовательно,
                 | 
          
            | 
                   Пример 3
               | 
          
            |  | 
          
            | 
                
                        x = e 2t,  y = e 3t.
                 
                  Решение.
                 Следовательно, производная dy /dx  равна
                 | 
          
            | 
                   Пример 4
               | 
          
            |  | 
          
            | 
                
                        x = at,  y = bt2.
                 
                  Решение.
                 В этом примере производные по t  равны
                 Следовательно,
                 | 
          
            | 
                   Пример 5
               | 
          
            |  | 
          
            | 
                
                        x = sin2 t,  y = cos2 t.
                 
                  Решение.
                 Дифференцируем по параметру t :
                 Тогда
                 | 
          
            | 
                   Пример 6
               | 
          
            |  | 
          
            | 
                
                        x = sh t,  y = ch t.
                 
                  Решение.
                 Вычислим производные:
                 Тогда производная dy /dx  равна
                 | 
          
            | 
                   Пример 7
               | 
          
            |  | 
          
            | 
                
                        x = acos t,  y = bsin t.
                 
                  Решение.
                 Данные уравнения описывают эллипс с центром в начале координат и полуосями a  и b . Продифференцируем переменные x  и y  по параметру t :
                 Производная dy /dx  зависит от t  следующим образом:
                 Здесь параметр t  изменяется в пределах от − π до π . Однако производная dy /dx  обращается в бесконечность в точках t = 0, ±π . Поэтому область допустимых значений можно представить как 0 < |t| < π .
                
               | 
          
            | 
                   Пример 8
               | 
          
            |  | 
          
            | 
                
                
                  Решение.
                 Дифференцируем оба уравнения по параметру t :
                 Следовательно, производная dy /dx  выражается формулой
                 | 
          
            | 
                   Пример 9
               | 
          
            |  | 
          
            | 
                
                
                  Решение.
                 Производная dy /dx  выражается формулой
                 где параметр t  может принимать значения, удовлетворяющие условиям |t| < 1,  t ≠ 0 .
                
               | 
          
            | 
                   Пример 10
               | 
          
            |  | 
          
            | 
                
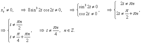
                        x = sin3 t,  y = cos3 t.
                 
                  Решение.
                 Вычислим производные xt' , yt' :
                 Производная dy /dx  равна
                 где t ≠ πn/2,  n ∈ Z . Ограничения на возможные значения t  вытекают из условия xt' ≠ 0 .
                
               | 
          
            | 
                   Пример 11
               | 
          
            |  | 
          
            | 
                
                
                  Решение.
                 Вычислим производные x  и y  по параметру t :
                 Тогда производная dy /dx  равна:
                 Здесь параметр t  может принимать любые значения, исключая точки t = ±1,  в которых переменные x  и y  терпят разрыв.
                
               | 
          
            | 
                   Пример 12
               | 
          
            |  | 
          
            | 
                
                
                  Решение.
                 Дифференцируя по t , находим:
                 Следовательно,
                 | 
          
            | 
                   Пример 13
               | 
          
            |  | 
          
            | 
                
                
                  Решение.
                 Находим производные x  и y  по параметру t :
                 В результате получаем:
                 Заметим, что производная существует при условии
                 | 
          
            | 
                   Пример 14
               | 
          
            |  | 
          
            | 
                
                        x = t − sin t,  y = 1 − cos t.
                 
                  Решение.
                 Производные x  и y  по параметру t  имеют такой вид:
                 Запишем производную dy /dx :
                 Используя в числителе и знаменателе формулы двойного угла, получаем:
                 где t ≠ 2πn,  n ∈ Z .
                
               | 
          
            | 
                   Пример 15
               | 
          
            |  | 
          
            | 
                
                
                  Решение.
                 Дифференцируем функции x (t ) и y (t ) по параметру t :
                 Тогда производная dy /dx  выражается формулой
                 | 
          
            | 
                   Пример 16
               | 
          
            |  | 
          
            | 
                
                        x = tan2 t,  y = cos2 t.
                 
                  Решение.
                 В результате имеем
                 В данном случае t ≠ πn/2,  n ∈ Z .
                
               | 
          
            | 
                   Пример 17
               | 
          
            |  | 
          
            | 
                
                
                  Решение.
                 Находим производные xt' , yt' :
                 Теперь можно легко записать выражение для производной dy /dx :
                 Допустимые значения параметра t  определяются следующей системой неравенств:
                 | 
          
            | 
                   Пример 18
               | 
          
            |  | 
          
            | 
                
                        x = sin4 2t,  y = cos4 2t.
                 
                  Решение.
                 Производные x  и y  по параметру t  имеют такой вид:
                 Тогда производная dy /dx  равна
                 В данном примере допустимые значения параметра t  ограничены условиями
                 | 
          
            | 
                   Пример 19
               | 
          
            |  | 
          
            | 
                
                
                  Решение.
                 Вычислим сначала производные x  и y  по переменной t :
                 Отсюда находим
                 Заметим, что здесь параметр t  может принимать значения, определяемые неравенством
                 т.е. допустимы лишь отрицательные значения t .
                
               | 
          
            | 
                   Пример 20
               | 
          
            |  | 
          
            | 
                Найти значение производной dy /dx  параметрически заданной функции x = t + 2sin πt,  y = 3t − cos πt  в точке t = 1/2 .
                 
                  Решение.
 Найдем сначала выражения для производных x (t ) и y (t ):
                 Тогда производная dy /dx  описывается формулой
                 Подставляя t = 1/2,  вычисляем значение производной в указанной точке:
                 
                   
                 | 
          
            |  |