www.Math24.ru
Дифференциальные Уравнения
Главная
Математический анализ
Пределы и непрерывность
Дифференцирование
Интегрирование
Последовательности и ряды
Двойные интегралы
Тройные интегралы
Криволинейные интегралы
Поверхностные интегралы
Ряды Фурье
Дифференциальные уравнения
Уравнения 1-го порядка
Уравнения 2-го порядка
Уравнения N-го порядка
Системы уравнений
Формулы и таблицы
   Уравнение Риккати
Общее уравнение Риккати
Уравнение Риккати является одним из наиболее интересных нелинейных дифференциальных уравнений первого порядка. Оно записывается в форме:
общее уравнение Риккати
где a(x), b(x), c(x) − непрерывные функции, зависящие от переменной x.

Уравнение Риккати встречается в различных областях математики (например, в алгебраической геометрии и в теории конформных отображений) и физики. Оно также нередко возникает в прикладных математических задачах.

Приведенное выше уравнение называется общим уравнением Риккати. Его решение основано на следующей теореме:

Теорема: Если известно частное решение y1 уравнения Риккати, то его общее решение определяется формулой
Действительно, подставляя решение  y = y1 + u в уравнение Риккати, имеем:
Подчеркнутые члены в левой и правой части можно сократить, поскольку y1 − частное решение, удовлетворяющее уравнению. В результате мы получаем дифференциальное уравнение для функции u(x):
которое является уравнением Бернулли. Подстановка  z = 1/u преобразует данное уравнение Бернулли в линейное дифференциальное уравнение, допускающее интегрирование.

Помимо общего уравнения Риккати, существует множество частных случаев уравнения Риккати с коэффициентами a(x), b(x), c(x) определенного вида. Многие из этих частных случаев имеют интегрируемые решения.

Возвращаясь вновь к общему уравнению Риккати, мы видим, что общее решение можно сконструировать, если известно какое-либо частное решение. К сожалению, не существует строгого алгоритма для нахождения частного решения, которое существенно зависит от вида функций a(x), b(x) и c(x).

Ниже мы рассмотрим некоторые хорошо известные частные случаи уравнения Риккати.
Частный случай 1: Коэффициенты a, b, c − константы.
Если коэффициенты в уравнении Риккати постоянны, то такое уравнение можно привести к уравнению с разделяющимися переменными. В этом случае общее решение описывается интегралом от рациональной функции с квадратичным трехчленом в знаменателе:
Этот интеграл легко вычисляется при любых значениях a, b и c (Смотрите более подробно об этом на странице "Интегрирование рациональных функций").
Частный случай 2: Уравнение вида y' = by 2 + cx n
Рассмотрим уравнение Риккати вида y' = by 2 + cxn, когда функция a(x) при линейном члене равна нулю, коэффициент b при y2 является константой, а c(x) является степенной функцией:
Этот случай уравнения Риккати имеет замечательные решения!

Прежде всего, заметим, что если n = 0, то мы снова приходим к случаю 1, в котором переменные разделяются и уравнение можно проинтегрировать.

Если n = −2, то уравнение Риккати преобразутся в однородное уравнение с помощью подстановки y = 1/z и далее также допускает интегрирование.

Данное дифференциальное уравнение можно также решить при
Здесь общее решение выражается через цилиндрические функции.

При всех других значениях степени n  решение уравнения Риккати можно выразить через интегралы от элементарных функций. Этот факт был установлен французским математиком Джозефом Лиувиллем (1809-1882) в 1841 году.

Многие другие частные случаи уравнения Риккати представлены на сайте EqWorld.

   Пример 1
Решить дифференциальное уравнение  y' = y + y2 + 1.

Решение.
Данное уравнение является простейшим уравнением Риккати с постоянными коэффициентами. Переменные x, y здесь легко разделяются, так что общее решение уравнения определяется в следующем виде:
     
   Пример 2
Решить уравнение Риккати .

Решение.
Будем искать частное решение в форме:
     
Подставляя это в уравнение, находим:
     
Получаем квадратное уравнение для c:
     
Мы можем выбрать любое значение c. Например, пусть c = 2. Теперь, когда частное решение известно, сделаем замену:
     
Снова подставим это в исходное уравнение Риккати:
     
Как видно, мы получили уравнение Бернулли с параметром m = 2. Сделаем еще одну замену:
     
Разделим уравнение Бернулли на z2 (полагая, что z ≠ 0) и запишем его через переменную v:
     
Последнее уравнение является линейным и легко решается с помощью интегрирующего множителя:
     
Общее решение линейного уравнения определяется функцией
     
Теперь мы будем последовательно возвращаться к предыдущим переменным. Так как z = 1/v, то общее решение для z записывается следующим образом:
     
Следовательно,
     
Можно переименовать константу: 3C = C1 и записать ответ в виде
     
где C1 − произвольное действительное число.

   Пример 3
Найти общее решение дифференциального уравнения  x3y' + x2y − y2 = 2x4.

Решение.
Приведем уравнение к стандартному виду:
     
Видно, что мы имеем дело с уравнением Риккати. Попробуем найти частное решение в форме  y1 = cx2. Подставляя это в дифференциальное уравнение, можно определить коэффициент c:
     
Решая квадратное уравнение, находим значение c::
     
Итак, мы получили даже два частных решения. Поскольку достаточно знать только одно, то выберем, например,  y1 = x2.

В результате можно записать общее решение уравнения Риккати в форме:
     
Для новой функции u(x) получаем следующее дифференциальное уравнение:
     
которое представляет собой уравнение Бернулли. Подстановка преобразует его в линейное дифференциальное уравнение:
     
Чтобы решить это линейное уравнение, вычислим интегрирующий множитель:
     
Можно взять функцию v(x) = x в качестве интегрирующего множителя. В самом деле, можно убедиться, что после умножения на v(x) = x левая часть уравнения становится производной произведения z(x)v(x). Общее решение линейного дифференциального уравнения имеет вид:
     
Поскольку z = 1/u, то функция u(x) определяется формулой
     
Следовательно, общее решение исходного уравнения Риккати выражается функцией
     
где C − произвольная постоянная.

   Пример 4
Решить уравнение .

Решение.
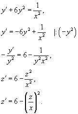
Видно, что данное уравнение является частным случаем уравнения Риккати вида  y' = by2 + cxn со степенью n = −2.

Сделав подстановку y = 1/z, можно преобразовать это уравнение в однородное и затем проинтегрировать.
Пусть . Тогда
     
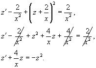
Для решения однородного уравнения сделаем еще одну замену:  z = tx,  z' = t'x + t. Следовательно,
     
Трехчлен в знаменателе дроби в левой части можно разложить следующим образом:
     
и затем рациональную дробь в подынтегральном выражении с помощью метода неопределенных коэффициентов можно разложить на сумму простых дробей:
     
В результате мы получаем:
     
Переобозначим константу: , так что решение для функции t(x) будет иметь вид:
     
Вспомним, что . Поэтому
     
Возвращаясь к переменной y, которая связана с z соотношением , находим:
     
Последнее выражение представляет собой общее решение заданного уравнения Риккати в неявной форме. Здесь постоянная C является любым действительным числом. Действительно, подставляя C = 0, мы видим, что это значение также удовлетворяет дифференциальному уравнению:
     
Следовательно,
     

Все права защищены © www.math24.ru, 2009-2014  
Сайт оптимизирован для Chrome, Firefox, Safari и Internet Explorer.