www.Math24.ru
Дифференциальные Уравнения
Главная
Математический анализ
Пределы и непрерывность
Дифференцирование
Интегрирование
Последовательности и ряды
Двойные интегралы
Тройные интегралы
Криволинейные интегралы
Поверхностные интегралы
Ряды Фурье
Дифференциальные уравнения
Уравнения 1-го порядка
Уравнения 2-го порядка
Уравнения N-го порядка
Системы уравнений
Формулы и таблицы
   Уравнение Бернулли
Уравнение Бернулли является одним из наиболее известных нелинейных дифференциальных уравнений первого порядка. Оно записывается в виде
уравнение Бернулли
где a(x) и b(x) − непрерывные функции.

Если m = 0, то уравнение Бернулли становится линейным дифференциальным уравнением. В случае когда m = 1, уравнение преобразуется в уравнение с разделяющимися переменными.

В общем случае, когда m ≠ 0, 1, уравнение Бернулли сводится к линейному дифференциальному уравнению с помощью подстановки
замена переменной в уравнении Бернулли
Новое дифференциальное уравнение для функции z(x) имеет вид
и может быть решено способами, описанными на странице Линейные дифференциальные уравнения первого порядка.

   Пример 1
Найти общее решение уравнения  y' − y = y2ex.

Решение.
Для заданного уравнения Бернулли m = 2, поэтому сделаем подстановку
     
Дифференцируя обе части уравнения (переменная y при этом рассматривается как сложная функция x), можно записать:
     
Разделим обе части исходного дифференциального уравнения на y2:
     
Подставляя z и z', находим:
     
Мы получили линейное уравнение для функции z(x). Решим его с помощью интегрирующего множителя:
     
Общее решение линейного уравнения выражается формулой
     
Возвращаясь к функции y(x), получаем ответ в неявной форме:
     
который можно записать также в виде:
     
Заметим, что при делении уравнения на y2 мы потеряли решение y = 0. В результате, полный ответ записывается в виде:
     
   Пример 2
Решить дифференциальное уравнение .

Решение.
Нетрудно заметить, что данное дифференциальное уравнение является уравнением Бернулли. Чтобы решить его, выполним подстановку
     
После дифференцирования получаем:
     
Разделим исходное уравнение на y2 и заменим y на z:
     
При делении на y2 мы потеряли решение y = 0. (Это можно проверить прямой подстановкой.)

Дифференциальное уравнение для новой переменной z имеет вид:
     
Мы получили линейное уравнение для функции z(x), которое можно решить, например, с помощью интегрирующего множителя:
     
Легко проверить, что таким интегрирующим множителем будет являться функция 1/x. В самом деле:
     
Видно, что левая часть уравнения после умножения на 1/x будет являться произведением z(x)u(x)

Тогда общее решение линейного дифференциального уравнения для функции z(x) определяется формулой
     
Принимая во внимание, что y = 1/z, записываем ответ в форме:
     
или в неявном виде:
     
Следовательно, окончательный ответ имеет вид:
     
   Пример 3
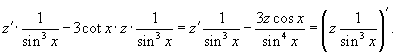
Найти все решения дифференциального уравнения  y' + y cot x = y4 sin x.

Решение.
В этом примере мы имеем дело с уравнением Бернулли с параметром m = 4. Поэтому, сделаем подстановку z = y1 − m = y−3. Производная будет равна
     
Умножим обе части исходного уравнения на (−3) и разделим на y4:
     
Заметим, что при делении на y4 мы потеряли решение y = 0. Записывая последнее уравнение через переменную z, получаем
     
Данное дифференциальное уравнение является линейным. Его можно решить, например, используя интегрирующий множитель:
     
В качестве интегрирующего множителя возьмем функцию . После умножения на u(x) левая часть уравнения будет представлять собой производную произведения z(x)u(x):
     
Следовательно, общее решение линейного дифференциального уравнения для функции z(x) представляется в виде:
     
Поскольку z = y−3, то мы получаем следующие решения исходного уравнения Бернулли:
     
   Пример 4
Найти все решения дифференциального уравнения .

Решение.
Данное уравнение является уравнением Бернулли с дробным параметром m = 1/2. Его можно свести к линейному дифференциальному уравнению с помошью замены . Производная новой функции z(x) будет равна
     
Разделим исходное уравнение Бернулли на . Аналогично другим примерам на этой веб-странице, корень y = 0 также является тривиальным решением дифференциального уравнения. Поэтому можно записать:
     
Заменяя y на z, находим:
     
Итак, мы имеем линейное уравнение для функции z(x). Интегрирующий множитель здесь будет равен
     
Выберем в качестве интегрирующего множителя функцию u(x) = x. Можно проверить, что после умножения на u(x) левая часть уравнения бедут представлять собой производную произведения z(x)u(x):
     
Тогда общее решение линейного дифференциального уравнения будет определяться выражением:
     
Возвращаясь к исходной функции y(x), записываем решение в неявной форме:
     
Итак, полный ответ имеет вид:
     
   Пример 5
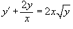
Найти решение дифференциального уравнения 4xyy' = y2 + x2, удовлетворяющее начальному условию y(1) = 2.

Решение.
Сначала мы проверим, что заданное дифференциальное уравнение является уравнением Бернулли:
     
Как видно, мы имеем уравнение Бернулли с параметром m = −1. Следовательно, можно сделать замену z = y1 − m = y2. Производная будет равна: z' = 2yy'. Далее, умножим обе части дифференциального уравнения на 2y:
     
Заменяя y на z, преобразуем уравнение Бернулли в линейное дифференциальное уравнение:
     
Вычислим интегрирующий множитель:
     
Найдем общее решение линейного уравнения:
     
Учитывая, что z = y2, решение можно записать в виде:
     
Теперь определим константу C, соответствующую начальному условию y(1) = 2.
Видно, что только решение с положительным знаком удовлетворяет данному условию. Следовательно,
     
В результате получаем: C = 4.

Итак, решение задачи Коши выражается функцией
     

Все права защищены © www.math24.ru, 2009-2014  
Сайт оптимизирован для Chrome, Firefox, Safari и Internet Explorer.