www.Math24.ru
Дифференциальные Уравнения
Главная
Математический анализ
Пределы и непрерывность
Дифференцирование
Интегрирование
Последовательности и ряды
Двойные интегралы
Тройные интегралы
Криволинейные интегралы
Поверхностные интегралы
Ряды Фурье
Дифференциальные уравнения
Уравнения 1-го порядка
Уравнения 2-го порядка
Уравнения N-го порядка
Системы уравнений
Формулы и таблицы
   Дифференциальные уравнения, допускающие понижение порядка
В общем случае дифференциальное уравнение второго порядка можно записать в виде
общая запись дифференциального уравнения второго порядка
где F − заданная функция указанных аргументов.

Если дифференциальное уравнение можно разрешить относительно второй производной y'', то его можно представить в следующем явном виде:
дифференциальное уравнение второго порядка в явном виде
В частных случаях функция f в правой части может содержать лишь одну или две переменных. Такие неполные уравнения включают в себя 5 различных типов:
неполные дифференциальные уравнения второго порядка
С помощью определенных подстановок эти уравнения можно преобразовать в уравнения первого порядка.

В случае произвольных дифференциальных уравнений второго порядка, их порядок можно понизить, если эти уравнения обладают определенной симметрией. Ниже мы обсудим 2 типа таких уравнений (случаи 6 и 7):
  • Функция F(x, y, y', y'') является однородной функцией аргументов y, y', y'';

  • Функция F(x, y, y', y'') является точной производной функции первого порядка Ф(x, y, y').
Итак, рассмотрим указанные случаи понижения порядка более подробно.
Случай 1. Уравнение вида  y''= f (x)
Если дано уравнение y'' = f(x), то его порядок можно понизить введением новой функции p(x), такой, что y' = p(x). В результате мы получим дифференциальное уравнение первого порядка
Решая его, находим функцию p(x). Затем решаем второе уравнение
и получаем общее решение исходного уравнения.
Случай 2. Уравнение вида  y''= f (y)
Здесь правая часть уравнения зависит только от переменной y. Вводим новую функцию p(y), полагая y' = p(y). Тогда можно записать:
и уравнение принимает вид:
Решая его, находим функцию p(y). Затем находим решение уравнения y' = p(y), то есть функцию y(x).
Случай 3. Уравнение вида  y''= f (y' )
В данном случае для понижения порядка вводим функцию y' = p(x) и получаем уравнение
которое является уравнением первого порядка с разделяющимися переменными p и x. Интегрируя, находим функцию p(x) и затем функцию y(x).
Случай 4. Уравнение вида  y''= f (x,y' )
Используем подстановку y' = p(x), где p(x) − новая неизвестная функция, и получаем уравнение первого порядка
Интегрируя, определяем функцию p(x). Далее решаем еще одно уравнение 1-го порядка
и находим общее решение y(x).
Случай 5. Уравнение вида  y''= f (y,y' )
Для решения такого уравнения, также как и в случае 2, вводим новую функцию p(y), полагая y' = p(y). Дифференцирование этого равенства по x приводит к уравнению
В результате наше исходное уравнение записывается в виде уравнения 1-го порядка
Решая его, находим функцию p(y). Затем решаем еще одно уравнение первого порядка
и определяем общее решение y(x).


Рассмотренные 5 случаев понижения порядка не являются независимыми. Исходя из структуры уравнений, ясно, что случай 2 следует из случая 5, а случай 3 вытекает из более общего случая 4.
Случай 6. Функция F(x, y, y', y'') является однородной функцией аргументов y, y', y''
Если левая часть дифференциального уравнения
удовлетворяет условию однородности, т.е. для любого k справедливо соотношение
то порядок уравнения можно понизить с помощью подстановки
После нахождения функции z(x) исходная функция y(x) находится интегрированием по формуле
где C2 − постоянная интегрирования.
Случай 7. Функция F(x, y, y', y'') является точной производной
Если удается найти такую функцию Ф(x, y, y'), не содержащую второй производной y'' и удовлетворяющую равенству
то решение исходного уравнения представляется интегралом
Таким образом уравнение второго порядка можно привести к уравнению первого порядка.

В некоторых случаях левую часть исходного уравнения можно преобразовать в точную производную, используя интегрирующий множитель.

   Пример 1
Решить уравнение  y'' = sin x + cos x.

Решение.
Данный пример относится к случаю 1. Введем функцию y' = p(x). Тогда  y'' = p'. Следовательно,
     
Интегрируя, находим функцию p(x):
     
Учитывая, что y' = p(x), проинтегрируем еще одно уравнение 1-го порядка:
     
Последняя формула представлят собой общее решение исходного дифференциального уравнения.

   Пример 2
Решить уравнение .

Решение.
Это уравнение относится к типу 2, где правая часть зависит лишь от переменной y. Введем параметр p = y'. Тогда уравнение можно записать в виде
     
Мы получили уравнение 1-го порядка с разделяющимися переменными для функции p(y). Интегрируем его:
     
где C1 − постоянная интегрирования.

Извлекая квадратный корень из обеих частей, находим функцию p(y):
     
Теперь вспомним, что y' = p и решим еще одно уравнение 1-го порядка:
     
Разделим переменные и проинтегрируем:
     
Чтобы вычислить левый интеграл, сделаем замену:
     
Тогда левый интеграл будет равен
     
В результате мы получаем следующее алгебраическое уравнение:
     
в котором C1, C2 являются постоянными интегрирования.

Последнее выражение представляет собой общее решение дифференциального уравнения в неявном виде.

   Пример 3
Решить уравнение .

Решение.
Данное уравнение не содержит функции y и независимой переменной x (случай 3). Поэтому полагаем y' = p(x). После этого уравнение принимает вид
     
Полученное уравнение первого порядка для функции p(x) является уравнением с разделяющимися переменными и легко интегрируется:
     
Заменяя p на y', получаем
     
Интегрируя еще раз, находим общее решение исходного дифференциального уравнения:
     
   Пример 4
Решить уравнение .

Решение.
В это уравнение не входит явно переменная y, т. е. уравнение относится к типу 4 в нашей классификации. Введем новую переменную y' = p(x). Исходное уравнение преобразуется в уравнение первого порядка:
     
которое решается разделением переменных:
     
Интегрируя полученное уравнение еще раз, находим функцию y(x):
     
Для вычисления последнего интеграла сделаем замену: x = t2, dx = 2tdt. В результате имеем
     
Возвращаясь обратно к переменной x, окончательно получаем
     
   Пример 5
Решить уравнение  y'' = (2y + 3)(y' )2.

Решение.
Данное уравнение не содержит явно независимой переменной x, т.е. относится к случаю 5. Пусть y' = p(y). Тогда уравнение запишется в виде
     
Разделяем переменные и интегрируем:
     
Интегрируя еще раз, получаем окончательное решение в неявном виде:
     
где C1, C2 − постоянные интегрирования.

   Пример 6
Решить уравнение .

Решение.
Уравнение удовлетворяет условию однородности. Поэтому сделаем следующую замену переменной: . Производные будут равны
     
Тогда дифференциальное уравнение принимает вид:
     
Функция z(x) легко находится:
     
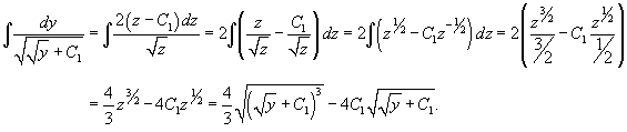
Исходную функцию y(x) определим по формуле
     
Вычисления приводят к следующему ответу:
     
Заметим, что кроме полученного общего решения, дифференциальное уравнение содержит также особое решение y = 0.

   Пример 7
Решить уравнение  yy'' + (y' )2 = 2x + 1.

Решение.
Можно заметить, что левая часть уравнения представляет собой производную от yy'. Поэтому, обозначая z = yy', получаем следующее дифференциальное уравнение:
     
Последнее уравнение легко решается разделением переменных:
     
Теперь проинтегрируем еще одно уравнение для y(x):
     
где C1, C2 − произвольные постоянные.

Все права защищены © www.math24.ru, 2009-2014  
Сайт оптимизирован для Chrome, Firefox, Safari и Internet Explorer.