www.Math24.ru
Дифференциальные Уравнения
Главная
Математический анализ
Пределы и непрерывность
Дифференцирование
Приложения производной
Интегрирование
Последовательности и ряды
Двойные интегралы
Тройные интегралы
Криволинейные интегралы
Поверхностные интегралы
Ряды Фурье
Дифференциальные уравнения
Уравнения 1-го порядка
Уравнения 2-го порядка
Уравнения N-го порядка
Системы уравнений
Формулы и таблицы
   Метод собственных значений и собственных векторов
Понятие о собственных значениях и собственных векторах
Рассмотрим линейную однородную систему n дифференциальных уравнений с постоянными коэффициентами, которую можно записать в матричном виде как
система n дифференциальных уравнений в матричной форме
где приняты следующие обозначения:
Будем искать нетривиальные решения однородной системы в виде
где V ≠ 0 − постоянный n-мерный вектор, который мы определим позже.

Подставляя указанное пробное выражение для X(t) в систему уравнений, получаем:
Данное уравнение означает, что при действии линейного оператора A вектор V преобразуется в коллинеарный вектор λV. Вектор, обладающий таким свойством, называется собственным вектором линейного преобразования A, а число λ называется собственным значением.

Таким образом, мы приходим к выводу, что для того, чтобы векторная функция X(t) = [exp (λt)V] являлась решением линейной однородной системы, необходимо и достаточно, чтобы число λ было собственным значением, а вектор V − соответствующим собственным вектором линейного преобразования A.

Как видно, решение линейной системы уравнений можно построить алгебраическим методом. Поэтому приведем далее некоторые необходимые сведения из линейной алгебры.
Нахождение собственных значений и собственных векторов линейного преобразования
Вернемся к полученному выше матрично-векторному уравнению
Его можно переписать как
где 0 означает нулевой вектор.

Вспомним, что произведение единичной матрицы I порядка n и n-мерного вектора V равно самому вектору:
Поэтому наше уравнение принимает вид:
Из последнего соотношения следует, что определитель матрицы  A −λI  равен нулю:
Действительно, если предположить, что  det (A −λI) ≠ 0, то у этой матрицы будет существовать обратная матрица  (A −λI)−1 . Умножая обе части уравнения слева на обратную матрицу  (A −λI)−1 , получим:
Это, однако, противоречит определению собственного вектора, который должен быть отличен от нуля. Следовательно, собственные значения λ должны удовлетворять уравнению
характеристическое уравнение системы дифференциальных уравнений
которое называется характеристическим уравнением линейного преобразования A. Многочлен в левой части уравнения называется характеристическим многочленом линейного преобразования (или линейного оператора) A. Множество всех собственных значений λ1, λ2, ..., λn образует спектр оператора A.

Итак, первый шаг в нахождении решения системы линейных дифференциальных уравнений − это решение характеристического уравнения и нахождение всех собственных значений λ1, λ2, ..., λn.

Далее, подставляя каждое собственное значение λi в систему уравнений
и решая ее, находим собственные векторы, соответствующие данному собственному значению λi. Заметим, что после подстановки собственных значений система становится вырожденной, т.е. некоторые уравнения будут одинаковыми. Это следует из того, что определитель такой системы равен нулю. В результате система уравнений будет иметь бесконечное множество решений, т.е. собственные векторы можно определить с точностью до постоянного коэффициента.
Фундаментальная система решений однородной линейной системы
Раскладывая определитель характеристического уравнения n-го порядка, мы получаем в общем случае следующее уравнение:
общий вид характеристического уравнения
где
Здесь число ki называется алгебраической кратностью собственного значения λi. Для каждого такого собственного значения существует si линейно независимых собственных векторов. Число si называется геометрической кратностью собственного значения λi. В курсе линейной алгебры доказывается, что геометрическая кратность si не превосходит алгебраическую кратность ki, т.е. выполняется соотношение
соотношение между алгебраической и геометрической кратностью
Оказывается, что вид общего решения однородной системы существенно зависит от кратности собственных значений. Рассмотрим возможные случаи, которые здесь возникают.
1. Случай si = ki = 1. Все корни характеристического уравнения действительны и различны.
В данном простейшем случае каждому собственному значению λi один собственный вектор Vi. Эти векторы образуют множество линейно независимых решений
т.е. фундаментальную систему решений однородной системы уравнений.

В силу линейной независимости собственных векторов соответствующий вронскиан будет отличен от нуля:
вронскиан системы дифференциальных уравнений с постоянными коэффициентами
Общее решение системы имеет следующий вид:
где C1, C2, ..., Cn − произвольные числа.

Характеристическое уравнение может иметь комплексные корни. Если при этом все коэффициенты матрицы A действительны, то комплексные корни появляются всегда в виде пар комплексно-сопряженных чисел. Предположим, что мы получили пару комплексных собственных значений  λi = α ± βi. Данной паре комплексно-сопряженных чисел соответствует пара линейно-независимых действительных решения вида
действительные решения для пары комплексно-сопряженных собственных значений
Таким образом, действительная и мнимая части комплексного решения образуют пару действительных решений.
2. Случай si = ki > 1. Характеристическое уравнение имеет кратные корни, у которых геометрическая и алгебраическая кратности равны.
Этот случай практически не отличается от предыдущего. Несмотря на наличие собственных значений с кратностью более 1, мы можем определить n линейно независимых собственных векторов. В частности, любая симметрическая матрица с действительными числами, у которой есть n собственных чисел, будет иметь n собственных векторов. Аналогичным свойством обладают унитарные матрицы. В общем случае квадратная матрица размером n x n должна быть диагонализируемой, чтобы иметь n собственных векторов.

Общее решение системы n дифференциальных уравнений представляется в виде
Здесь полное число слагаемых равно n, Cij − произвольные числа.
3. Случай si < ki. Характеристическое уравнение имеет кратные корни, у которых геометрическая кратность меньше алгебраической кратности.
В некоторых матрицах A (такие матрицы называются дефектными) собственное число λi кратностью ki может иметь меньше, чем ki линейно независимых собственных векторов. В этом случае вместо недостающих собственных векторов определяются так называемые присоединенные векторы, так чтобы в результате получить множество n линейно независимых векторов и построить соответствующую фундаментальную систему решений. Для этой цели обычно применяются два способа: Детальное описание этих способов решения приводится отдельно на указанных web-страницах. Ниже мы рассмотрим примеры систем дифференциальных уравнений, соответствующие случаям 1 и 2.

   Пример 1
Найти общее решение системы дифференциальных уравнений
     
Решение.
Вычислим собственные значения λi матрицы A, составленной из коэффициентов заданных уравнений:
     
В данном примере характеристическое уравнение имеет два различных действительных корня.

Найдем собственный вектор V1, соответствующий собственному числу λ1 = 3. Подставляя λ1 = 3, получаем векторно-матричное уравнение для определения V1:
     
Пусть собственный вектор V1 имеет координаты V1 = (V11, V21) T (здесь индекс T означает операцию транспонирования). Тогда предыдущее уравнение можно записать в виде:
     
После перемножения матриц получаем систему двух уравнений:
     
Оба уравнения являются линейно зависимыми. Из второго уравнения находим соотношение между координатами собственного вектора: V11 = V21. Полагаем V21 = 1. Следовательно, V11 = 1. Таким образом, собственный вектор V1 имеет координаты V1 = (1,1) T.

Аналогично определяем 2-ой собственный вектор V2, соответствующий λ2 = −3. Пусть V2 = (V21, V22) T. Тогда
     
Получаем систему двух одинаковых уравнений:
     
Отсюда находим координаты собственного вектора V2:
     
Следовательно, V2 = (−5,1) T.

Таким образом, система уравнений имеет два различных собственных числа и два собственных вектора. Общее решение выражается формулой
     
где C1, C2 − произвольные числа.

   Пример 2
Найти общее решение системы дифференциальных уравнений
     
Решение.
Будем искать решение системы в виде
     
где λ − собственное значение матрицы A, составленной из коэффициентов уравнения, а V − собственный вектор этой матрицы. Решим характеристическое уравнение:
     
Мы получили два собственных значения в виде пары комплексно-сопряженных чисел. Найдем собственный вектор V1 для собственного значения  λ1 = 1 + 4i  из следующей системы уравнений:
     
Оба уравнения являются линейно зависимыми. Из второго уравнения получаем:
     
Итак, собственный вектор V1 равен:
     
Следовательно, комплексному числу  λ1 = 1 + 4i  соответствует решение вида
     
Преобразуем экспоненциальную функцию по формуле Эйлера:
     
Решение X1(t) принимает вид:
     
или после перемножения
     
В комплексном решении действительная и мнимая части являются линейно независимыми. Выделяя их, находим общее решение:
     
Таким образом, общее решение системы записывается в виде
     
где C1, C2 − произвольные числа.

   Пример 3
Найти общее решение системы дифференциальных уравнений
     
Решение.
Матрица данной системы имеет диагональный вид:
     
Поэтому сразу можно сказать, что собственные векторы равны
     
Построим однако решение, следуя общему алгоритму. Вычислим собственные значения матрицы A:
     
Матрица имеет единственное собственное значение с алгебраической кратностью 2. Если подставить найденное число  λ1 = 3  в систему уравнений для определения собственного вектора V, то получим вырожденный случай:
     
Ясно, что для заданной матрицы A любой ненулевой вектор V будет являться собственным. Поэтому, в качестве базиса из собственных векторов удобно взять следующие два линейно независимых вектора:
     
Заметим, что мы получили случай, когда собственное значение  λ1 = 3  имеет одинаковую алгебраическую и геометрическую кратность k1 = s1 = 2, что соответствует случаю 2 по нашей классификации.

Общее решение системы уравнений записывается в виде
     
   Пример 4
Найти общее решение системы дифференциальных уравнений
     
Решение.
Вычислим собственные значения матрицы A:
     
Раскладываем определитель по первому столбцу:
     
Можно заметить, что одним из корней данного кубического уравнения будет число λ = 1. Тогда получаем
     
Квадратное уравнение, в свою очередь, имеет корни λ = 2,3. Следовательно, матрица A имеет три различных действительных собственных числа:
     
Теперь для каждого собственного числа определим собственный вектор.

Найдем вектор V1 для числа  λ1 = 1, решив векторно-матричное уравнение
     
Обозначая V1 = (V11, V21, V31) T, запишем это уравнение в виде
     
В результате имеем систему линейных алгебраических уравнений:
     
В этой системе первое и третье уравнения одинаковы, т.е. ранг матрицы равен 2. Оставим два независимых уравнения и примем V31 за свободную переменную. Получаем:
     
Итак, собственный вектор V1 имеет координаты:
     
где для простоты принято t = 1.

Аналогично найдем координаты второго собственного вектора V2, соответствующего числу  λ2 = 2. Полагаем V2 = (V12, V22, V32) T. Тогда имеем следующую систему уравнений:
     
Пусть V32 = t. Из третьего уравнения находим: V22 = V32 = t. Подставляя в первое уравнение, получаем:
     
Следовательно, собственный вектор V2 равен:
     
При t = 1 можно записать: V2 = (−1,1,1) T.

Вычислим теперь координаты третьего собственного вектора V3, соответствующего числу  λ3 = 3. Обозначив V3 = (V13, V23, V33) T, получаем следующую систему уравнений:
     
В качестве свободной переменной выберем V33 = t. Из последнего уравнения выразим V23:
     
Подставляя V23, V33 в первое уравнение, получаем:
     
Таким образом, собственный вектор V3 имеет координаты
     
Общее решение системы записывается в виде
     
где C1, C2, C3 − произвольные числа.

   Пример 5
Найти общее решение системы уравнений
     
Решение.
Начнем с определения собственных значений матрицы A:
     
Раскладывая левую часть на множители, получаем:
     
Видно, что характеристическое уравнение имеет один действительный и два комплексных корня (в виде пары комплексно-сопряженных чисел):
     
Нахождение собственного вектора V1 для собственного числа  λ1 = 1 ничем не отличается от предыдущего примера. Координаты вектора V1 = (V11, V21, V31) T определяются из системы линейных уравнений:
     
После перемножения получаем:
     
Видно, что ранг системы уравнений равен 2. Поэтому мы можем выбрать одну свободную переменную, в качестве которой возьмем V31 = t. Выразим остальные переменные через t:
     
Итак первый собственный вектор имеет координаты
     
Рассмотрим теперь пару комплексно-сопряженных корней  λ2,3 = ± i. Для нахождения компонента общего решения, связанного с этой парой корней, достаточно взять лишь одно число, например,  λ2 = +i  и построить для него собственный вектор V2, который, возможно, будет иметь комплексные координаты. Далее мы сконструируем частное решение X2 вида
     
и выделим в нем действительную и мнимую части, которые будут представлять два линейно независимых решения. Реализуя данный план, запишем матрично-векторное уравнение для вектора V2:
     
Получаем систему уравнений:
     
Преобразуем в более удобный вид первое уравнение, умножив его на :
     
Избавимся от комплексных чисел в знаменателях коэффициентов:
     
Тогда первое уравнение принимает вид:
     
Снова вернемся к системе уравнений и приведем ее к треугольному виду, чтобы определить ее ранг:
     
Преобразуем второе уравнение:
     
Здесь коэффициент перед переменной V32 равен
     
Следовательно, второе уравнение имеет вид:
     
Аналогичным образом преобразуем третье уравнение:
     
Вычислим коэффициент перед V32:
     
Тогда третье уравнение записывается как
     
т.е. оно совпадает со вторым уравнением.

Итак, ранг системы равен 2 и ее можно записать в следующей эквивалентной форме:
     
В качестве свободной переменной примем V32 = t. Выразим через t последовательно другие переменные V22 и V12:
     
Таким образом, мы определили собственный вектор V2 с комплексными координатами:
     
Сконструируем теперь решение X2 на основе собственного значения λ2 и собственного вектора V2 и разложим его на действительную и мнимую компоненты.
     
Представим exp (it) по формуле Эйлера:
      формула Эйлера
Следовательно,
     
Вычисленные действительные и мнимые части комплексного векторного решения X2 являются линейно независимыми. С учетом первого компонента X1, соответствующего собственному числу λ1, можно записать общее действительное решение системы в виде
     
где C1, C2, C3 − произвольные числа.

   Пример 6
Найти общее решение системы дифференциальных уравнений
     
Решение.
Определим собственные значения заданной матрицы:
     
Можно заметить, что данное кубическое уравнение имеет корень  λ = 1. Выделяя одночлен (λ − 1), получаем:
     
Корни квадратного уравнения равны:  λ = 1, 4. Таким образом, характеристическое уравнение представляется в виде
     
Исходная матрица системы является симметрической. Поэтому она будет иметь три собственных вектора. Это означает, что у корня  λ = 1 алгебраическая и геометрическая кратность одинаковы (и равны 2).

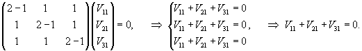
Определим собственные векторы, соответствующие числу  λ1,2 = 1. Они находятся из системы уравнений
     
Видно, что все три уравнения одинаковы. Оставляем одно уравнение и, выбирая в качестве свободных переменных  V21 = u  и  V31 = v, получаем:
     
Отсюда следует, что координаты первого собственного вектора (при u = 1, v = 0) равны: V1 = (−1,1,0) T.

Соответственно, координаты второго линейно независимого собственного вектора (при u = 0, v = 1) составляют: V2 = (−1,0,1) T.

Теперь определим третий собственный вектор V3, соответствующий числу  λ3 = 4:
     
Здесь выбираем в качестве свободной переменную  V33 = t. Другие две координаты равны
     
Следовательно, собственный вектор V3 имеет следующие координаты:
     
Общее решение системы дифференциальных уравнений выражается формулой
     
где C1, C2, C3 − произвольные числа.

Все права защищены © www.math24.ru, 2009-2015  
Сайт оптимизирован для Chrome, Firefox, Safari и Internet Explorer.