www.Math24.ru
Дифференциальные Уравнения
Главная
Математический анализ
Пределы и непрерывность
Дифференцирование
Приложения производной
Интегрирование
Последовательности и ряды
Двойные интегралы
Тройные интегралы
Криволинейные интегралы
Поверхностные интегралы
Ряды Фурье
Дифференциальные уравнения
Уравнения 1-го порядка
Уравнения 2-го порядка
Уравнения N-го порядка
Системы уравнений
Формулы и таблицы
   Построение общего решения системы уравнений с помощью жордановой формы
Снова рассмотрим линейную однородную систему n дифференциальных уравнений с постоянными коэффициентами:
система дифференциальных уравнений с постоянными коэффициентами в матричной форме
где
Фундаментальная система решений такой системы должна включать в себя n линейно-независимых функций. При построении решения с использованием метода собственных значений и собственных векторов часто оказывается, что число собственных векторов меньше n, т.е. для таких систем не существует базиса, состоящего лишь из собственных векторов. В этом случае решение можно искать, например, методом неопределенных коэффициентов. Однако существует более общий и элегантный способ построения общего решения. Он основан на том факте, что любую квадратную матрицу можно привести к так называемой жордановой нормальной форме (строго говоря, это справедливо над полем комплексных чисел). Зная жорданову форму матрицы и жорданов базис, можно составить общее решение системы уравнений.

Рассмотрим эту технику решения более подробно. Предварительно введем некоторые базовые определения.
Жорданова форма матрицы
Жорданову форму можно рассматривать как обобщение квадратной диагональной матрицы. На ее диагонали размещаются т.н. жордановы клетки, соответствующие собственным значениям λi исходной матрицы. Собственные числа λi могут быть равными в различных клетках. Структура жордановой матрицы может выглядеть, например, так:
типичная структура жордановой матрицы
Сами собственные значения матрицы λi находятся на главной диагонали, причем каждое собственное число λi встречается столько раз, какова его алгебраическая кратность ki. В каждой клетке размером более 1 имеется параллельный ряд над главной диагональю, состоящий из единиц. Все остальные элементы жордановой матрицы равны нулю. Порядок расположения жордановых клеток в матрице определен неоднозначно.
Присоединенные векторы и жордановы цепочки
Рассмотрим жорданову клетку размером k с собственным значением λ. Такой клетке соответствует k базисных векторов V1, V2, ..., Vk. Вектор V1 (V1 ≠ 0) среди них является собственным и удовлетворяет уравнению
уравнение для собственных векторов
Вектор V2 (V2 ≠ 0) определяется из уравнения
уравнение для присоединенных векторов
и называется присоединенным вектором первого порядка. Аналогично находятся другие присоединенные векторы более высокого порядка:
Заметим, что из соотношений
следует, что
Для присоединенного вектора Vk порядка k будет справедливо равенство
Цепочка векторов V1, V2, ..., Vk, состоящая из собственного вектора V1 и присоединенных векторов V2, ..., Vk, является линейно-независимой и называется жордановой цепочкой.

Каждой жордановой цепочке длины k соответствует k линейно-независимых решений однородной системы в виде
линейно независимые решения для жордановой цепочки
Полное число всех решений равно сумме длин жордановых цепочек для всех клеток, т.е. равно размеру матрицы n. Совокупность таких линейно-независимых векторных функций составляет фундаментальную систему решений.
Общее решение системы для матриц 2x2 и 3x3
На практике наиболее часто встречаются системы дифференциальных уравнений 2-го и 3-го порядка. Рассмотрим все случаи жордановых форм, которые могут встретиться в таких системах, и соответствующие им формулы общего решения. Всего существует 8 различных случаев (3 для матрицы 2х2 и 5 для матрицы 3х3). Данную классификацию удобно проиллюстрировать следующей таблицей:
восемь различных случаев жордановых форм для матриц 2х2 и 3х3
Теперь обсудим, как можно вычислить собственные и присоединенные векторы в указанных случаях и построить общее решение.
Случай 1. Матрица 2x2. Два различных собственных значения λ1, λ2
В этом случае жорданова форма имеет обычный диагональный вид. Каждому собственному значению λi соответствует один собственный вектор Vi, который находится из матричного уравнения
Общее решение выражается формулой
Случай 2. Матрица 2x2. Одно собственное значение λ1 (k1=2, s1=2)
Данная матрица имеет единственное собственное значение кратностью 2. Ранг матрицы при этом значении λ1 равен 1. Поэтому геометрическая кратность будет равна
т.е. при решении уравнения
получается два линейно-независимых собственных вектора V1 и V2. Общее решение системы имеет почти такой же вид, как и в случае 1:
Случай 3. Матрица 2x2. Одно собственное значение λ1 (k1=2, s1=1)
Здесь ранг матрицы равен 2. Следовательно, геометрическая кратность собственного числа λ1 и количество собственных векторов равно
Этот собственный вектор V1 = (V11,V21) T находится из уравнения
Для построения фундаментальной системы решений не хватает еще одного линейно-независимого вектора. В качестве такого вектора возьмем присоединенный вектор V2 = (V21,V22) T, удовлетворяющий уравнению
Если из найденных собственного и присоединенного векторов составить матрицу H, равную
то жорданова форма J находится с помощью соотношения
формула приведения произвольной квадратной матрицы к жордановой форме
где H −1 − матрица, обратная к H. Это свойство можно использовать для проверки правильности определения собственных и присоединенных векторов.

Общее решение системы представляется в виде:
Случай 4. Матрица 3x3. Три различных собственных значения λ1, λ2, λ3
Здесь жорданова форма имеет диагональный вид. Каждому собственному числу λi соответствует свой собственный вектор Vi, который определяется из уравнения
Общее решение системы 3-х дифференциальных уравнений записывается в виде:
Случай 5. Матрица 3x3. Два собственных значения λ1 (k1=2, s1=2), λ2 (k2=1, s2=1)
В данном случае характеристическое уравнение имеет два корня, один из которых кратный (k1 = 2). При подстановке этого кратного корня λ1 матрица  A − λ1I  имеет ранг 1. В результате у числа λ1 геометрическая кратность и количество ассоциированных с ним собственных векторов равно
Оба линейно-независимых собственных вектора V1 и V2 (им соответствуют две жордановы клетки) определяются из уравнения
Третья клетка в жордановой форме состоит из простого собственного значения λ2 (k2 = 1, s2 = 1). Собственный вектор V3 для этого числа находится из уравнения
Общее решение системы выражается формулой
Случай 6. Матрица 3x3. Два собственных значения λ1 (k1=2, s1=1), λ2 (k2=1, s2=1)
Этот случай отличается от предыдущего тем, что для первого собственного числа λ1 удается найти лишь один собственный вектор V1, который удовлетворяет уравнению
Здесь ранг матрицы для числа λ1 равен 2:
Недостающий линейно-независимый вектор находится как вектор V2, присоединенный к V1:
Другое собственное значение λ1 (соответствующее второй жордановой клетке) обеспечивает еще один собственный вектор V3. Общее решение системы имеет вид:
Случай 7. Матрица 3x3. Одно собственное значение λ1 (k1=3, s1=2)
Здесь жорданова форма состоит из двух клеток с одинаковым собственным значением λ1. Первая клетка имеет один собственный вектор V1 и один присоединенный вектор V2. Они находятся из соотношений
Первое уравнение имеет два решения в виде двух собственных векторов (поскольку rank (A −λ1I) = 1). Второй собственный вектор (обозначим его как V3) связан со второй жордановой клеткой.

Общее решение системы описывается выражением
Случай 8. Матрица 3x3. Одно собственное значение λ1 (k1=3, s1=1)
В этом случае линейный оператор A имеет одно собственное значение λ1 кратностью k1 = 3. При этом ранг матрицы A равен 2. Это приводит к тому, что уравнение
имеет решение в виде единственного собственного вектора V1. Недостающие 2 линейно-независимых вектора определяются как присоединенные векторы из цепочки соотношений
Общее решение имеет вид:

Ниже мы рассмотрим примеры систем уравнений, соответствующие случаям 1 − 8. Случаи 1, 2, 4, 5 с "достаточным" количеством собственных векторов представлены также на странице Метод собственных значений и собственных векторов.

   Пример 1
Решить систему уравнений
     
Решение.
Составим характеристическое уравнение для данной матрицы и найдем собственные значения:
     
Вычислим собственные векторы для каждого собственного числа.

Подставляя λ1 = 1, найдем вектор V1 = (V11, V21) T :
     
Видно, что ранг этой матрицы равен 1. Следовательно, геометрическая кратность собственного значения λ1 = 1 составляет
     
Соответственно, существует один собственный вектор. Его координаты равны:
     
Аналогично вычислим собственный вектор V2 = (V12, V22) T для собственного числа λ2 = 5:
     
Пусть V22 = t. Тогда
     
Как видно, здесь мы имеем случай простых собственных чисел (случай 1). Общее решение системы выражается в виде
     
   Пример 2
Найти общее решение системы уравнений
     
Решение.
Как обычно, определим сначала собственные значения, решив характеристическое уравнение
     
Следовательно, матрица системы имеет одно собственное значение λ1 = −1 кратности k1 = 2.

Найдем собственные векторы для этого значения λ1.
     
Как видно, в данном случае любой вектор является собственным. Поэтому в качестве пары линейно-независимых собственных векторов можно выбрать единичные орты:
     
Здесь мы встречаемся со случаем 2: у системы двух дифференциальных уравнений имеется одно собственное значение, алгебраическая и геометрическая кратность которого равны 2. Общее решение системы записывается в виде:
     
   Пример 3
Найти общее решение системы уравнений
     
Решение.
Запишем характеристическое уравнение и найдем его корни:
     
Матрица системы имеет одно собственное значение λ1 = 3 с алгебраической кратностью k1 = 2.

Определим собственные векторы, соответствующие числу λ1 = 3. Пусть V1 = (V11, V21) T. Получаем:
     
Пусть V21 = t. Тогда координаты вектора V11 равны
     
Проверим, правильно ли мы вычислили собственный вектор V1. По определению, для собственного вектора должно быть справедливо соотношение
     
Подставляя известные значения, получаем:
     
Данная комбинация величин (k1 = 2, s1 = 1) соответствует случаю 3, в котором решение описывается одной жордановой клеткой. Для построения общего решения системы нужно определить присоединенный вектор V2 = (V12, V22) T. Найдем его из матричного уравнения
     
Сделаем еще одну проверку, чтобы убедиться, что присоединенный вектор V2 вычислен верно. Воспользуемся формулой преобразования исходной матрицы A к жордановой нормальной форме J :
     
Здесь матрица H составляется из найденных векторов:
     
Обратная матрица H −1 будет равна:
     
где Aij − алгебраические дополнения к элементам матрицы H, Δ − ее определитель.

После подстановки убеждаемся, что результатом преобразований является жорданова форма:
     
Общее решение системы дифференциальных уравнений описывается формулой
     
   Пример 4
Решить систему уравнений
     
Решение.
Составим характеристическое уравнение и вычислим его корни:
     
Раскладываем определитель по третьей строке:
     
Следовательно, матрица имеет три различных собственных значения: λ1 = 0, λ2 = 1, λ3 = 2.

Вычислим собственные векторы V1, V2, V3 для этих собственных значений. Для собственного числа λ1 = 0 находим V1 = (V11, V21, V31) T :
     
Определим ранг данной системы уравнений:
     
В этом случае ранг матрицы равен 2, геометрическая кратность собственного значения λ1 равна 1. Чтобы найти вектор V1, ассоциированный с числом λ1, положим V31 = t. В результате получаем:
     
Следовательно,
     
Правильность вычисления собственного вектора V1 можно проверить, используя определение собственного вектора. Подставляя координаты вектора V1, получаем для λ1 = 0:
     
Аналогично определим вектор V2 = (V12, V22, V32) T для собственного числа λ2 = 1:
     
Таким образом, видно, что rank (A −λ2I) = 2. Геометрическая кратность корня λ2 = 1 равна s2 = 1. Положим V32 = t и выразим другие координаты V12, V22 через t :
     
Итак, собственный вектор V2 равен:
     
Проверка:
     
Теперь найдем вектор V3 = (V13, V23, V33) T, ассоциированный с собственным значением λ3 = 2:
     
Видно, что rank (A −λ3I) = 2. Полагая V33 = t, вычислим координаты V13, V23 :
     
Следовательно,
     
Снова сделаем проверку:
     
Итак, найдены все собственные векторы. Теперь можно записать общее решение системы, которое в данном случае имеет вид:
     
   Пример 5
Найти общее решение системы дифференциальных уравнений
     
Решение.
Вычислим корни характеристического уравнения:
     
Можно заметить, что одним из корней кубического уравнения является число λ1 = −1. Тогда, выделяя множитель (λ + 1), получаем:
     
Таким образом, данная система имеет два собственных значения: λ1 = −1 кратностью k1 = 1 и λ2 = 2 кратностью k2 = 2.

Определим собственные векторы. Для числа λ1 = −1 ранг матрицы равен:
     
Поскольку rank (A −λ1I) = 2, то данному собственному значению соответствует один собственный вектор V1 = (V11, V21, V31) T :
     
Найдем его координаты из системы уравнений
     
Пусть V31 = t. Тогда
     
Таким образом, собственный вектор V1 равен
     
Рассмотрим теперь второе собственное значение λ2 = 2, алгебраическая кратность которого k2 = 2. Определим ранг матрицы  A −λ2I  и геометрическую кратность s2:
     
Следовательно,
     
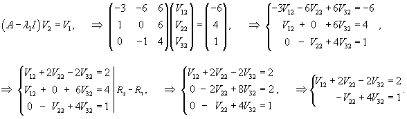
В этом случае матрица имеет два собственных вектора (т.е. мы имеем случай 5). Если обозначить V2 = (V12, V22, V32) T, V3 = (V13, V23, V33) T, то координаты обоих этих векторов будут удовлетворять уравнениям
     
Выбирая координаты y, z в виде свободных переменных и полагая их равными (0,1) для V2 и (1,0) для V3, получаем следующие линейно-независимые векторы:
     
Собирая все компоненты общего решения, можно представить его в виде
     
   Пример 6
Найти общее решение системы уравнений
     
Решение.
Вычислим собственные значения:
     
Видно, что существуют два собственных значения: λ1 = 0 кратностью k1 = 2 и λ2 = 1 кратностью k1 = 1.

Вычислим ранг матрицы  A −λ1I :
     
Следовательно, rank (A −λ1I) = 2 и, соответственно, геометрическая кратность s1 собственного числа λ1 = 0 равна:
     
Ясно, что мы имеем дело со случаем 6, где жорданова форма содержит 2 клетки, одна из которых ассоциируется с одним собственным и одним присоединенным вектором. Найдем сначала собственный вектор V1 = (V11, V21, V31) T, решив матричное уравнение
     
которое эквивалентно системе
     
Пусть V31 = t. Тогда
     
Получаем
     
Теперь вычислим присоединенный вектор V2 = (V12, V22, V32) T :
     
Мы можем выбрать любой вектор, удовлетворяющий данным уравнениям. Полагаем V32 = 0. Тогда остальные координаты равны:
     
Итак, координаты присоединенного вектора V2 равны
     
Рассмотрим теперь собственное значение λ2 = 1. Для него собственный вектор V3 = (V13, V23, V33) T равен:
     
Пусть V33 = t. Тогда
     
Следовательно,
     
Проверим правильность нахождения собственных и присоединенных векторов, используя формулу преобразования матрицы A к жордановой форме J :
     
Определитель матрицы H равен:
     
Составим матрицу B из алгебраических дополнений:
     
Следовательно,
     
Транспонируя матрицу B, запишем обратную матрицу H −1:
     
Вычислим произведение трех матриц:
     
Мы получили жорданову форму J, у которой в первой клетке на диагонали стоят собственные числа λ1 = 0, а во второй клетке − число λ2 = 1.

Общее решение системы выражается формулой
     
   Пример 7
Найти общее решение системы линейных дифференциальных уравнений
     
Решение.
Составим характеристическое уравнение и найдем собственные значения:
     
Уравнение имеет один корень λ1 = 1 кратностью k1 = 3. Определим ранг матрицы  A −λ1I :
     
Ранг равен 1. Поэтому геометрическая кратность собственного значения λ1 = 1 равна
     
Отсюда следует, что жорданова форма состоит из двух клеток, т.е. соответствует случаю 7.

Найдем собственные векторы V1 и V2, ассоциированные с числом λ1 = 1. Пусть вектор V1 имеет координаты V1 = (V11, V21, V31) T. Решаем уравнение
     
Мы можем выбрать две координаты произвольно. Простейшая линейно-независимая пара векторов получается, если положить y = 1, z = 0 для вектора V1 и y = 0, z = 1 для вектора V2. Подставляя эти значения в последнее уравнение, находим координаты x собственных векторов V1 и V2:
     
Здесь нужно иметь ввиду, что в данной системе с рангом 1 существует бесконечное множество собственных векторов (лежащих в плоскости x +2y −5z = 0). При этом на данном шаге необязательно, чтобы найденные векторы V1 и V2 входили в жорданов базис.

Рассмотрим жорданову клетку 2x2. Очевидно, что жорданова цепочка состоит из одного собственного вектора и одного присоединенного вектора. Обозначим эти векторы как U1 и U2. Они должны удовлетворять следующим матричным уравнениям:
     
Проверим, что (A −λ1I)2 = 0:
     
Таким образом, любой ненулевой вектор принадлежит ядру оператора (A −λ1I)2. Поскольку первый столбец матрицы  A −λ1I  не равен нулю, то в качестве присоединенного вектора U2 можно взять единичный орт оси 0x: U2 = (1,0,0) T.

Вычислим вектор U1:
     
Убедимся, что найденный вектор U1 принадлежит ядру оператора  A −λ1I , т.е. является собственным вектором матрицы A:
     
Итак, мы определили два базисных вектора U1 и U2, связанных с жордановой клеткой 2x2. Другая элементарная клетка 1x1 содержит еще один собственный вектор, в качестве которого можно взять любой собственный вектор матрицы A, который не будет коллинеарен вектору U1 = (3,1,1) T. Возьмем, например, найденный в начале решения вектор V2 = (5,0,1) T.

Вычисленные три линейно-независимых вектора U1, U2 и V2 образуют жорданов базис. Общее решение системы уравнений выражается в виде
     
   Пример 8
Решить систему линейных однородных уравнений
     
Решение.
Составляем характеристическое уравнение и находим его корни:
     
Следовательно, матрица A имеет одно собственное значение λ1 = −3 с алгебраической кратностью k1 = 3.

Вычислим ранг матрицы  A −λ1I :
     
Видно, что rank (A −λ1I) = 2, геометрическая кратность числа λ1 = −3 равна
     
Здесь мы встречаемся со случаем 8, где имеется жорданова клетка размером 3x3. Соответствующая жорданова цепочка будет состоять из одного собственного вектора V1 и двух присоединенных векторов V2, V3. Для этих векторов, образующих жорданов базис, будут выполняться следующие соотношения:
     
Убедимся, что (A −λ1I)3 = 0:
     
Таким образом
     
т.е. ядро оператора (A −λ1I)3 совпадает со всем пространством. Поэтому мы можем выбрать произвольный ненулевой вектор V3 для формирования жордановой цепочки. Возьмем, например, вектор V3 = (1,0,0) T и убедимся, что он не принадлежит ядру оператора (A −λ1I)2 :
     
Вычислим теперь векторы V2 и V1 из цепочки соотношений
     
Наша цель − получить ненулевой вектор V1, т.е. построить жорданов базис. Если вектор V1 = 0, то в качестве начального вектора V3 можно взять вектор (0,1,0) T или (0,0,1) T. В одном из трех вариантов мы обязательно получим ненулевой вектор V1. Это следует из того, что ядро оператора (A −λ1I)2 не совпадает со всем пространством и, поэтому, не может иметь три линейно-независимых вектора.

Продолжая вычисления, находим V2 и V1:
     
Итак, мы определили жорданов базис, состоящий из векторов
     
Сделаем проверку, используя формулу преобразования матрицы A к жордановой форме J :
     
Здесь матрица H составляется из базисных векторов V1, V2, V3:
     
Обратная матрица H −1 равна:
     
Перемножая матрицы, получаем
     
В результате мы получили жорданову форму с одной клеткой размером 3x3.

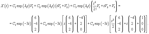
Общее решение системы имеет вид:
     

Все права защищены © www.math24.ru, 2009-2015  
Сайт оптимизирован для Chrome, Firefox, Safari и Internet Explorer.