|
Раскрытие неопределенностей
|
|
Неопределенности типа  Пусть заданы две функции f (x) и g (x), такие, что
В этом случае говорят, что функция  имеет неопределенность типа  в точке x = a. Чтобы найти предел при x = a когда функция  содержит неопределенность  , нужно разложить на множители числитель и/или знаменатель и затем сократить члены, стремящиеся к нулю.
Примечание: В данном разделе при вычислении пределов не используется правило Лопиталя.
Неопределенности типа  Пусть две функции f (x) и g (x) обладают свойством
где a является действительным числом, либо стремится к + ∞ или − ∞. Говорят, что в этом случае функция  имеет в точке a неопределенность типа  . Для вычисления предела в этой точке необходимо разделить числитель и знаменатель на x в наивысшей степени.
Неопределенности типа  Неопределенности этих типов сводятся к рассмотренным выше неопределенностям типа  и  .
|
|
Пример 1
|
|
Вычислить предел  .
Решение.
Подставив напрямую значение x = 1, убеждаемся, что данная функция имеет неопределенность  в точке x = 1. Разложив числитель на множители, получаем
|
|
Пример 2
|
|
Вычислить предел  .
Решение.
Функция имеет неопределенность типа  в точке y = −2. Разложим числитель и знаменатель на множители.
(Мы использовали здесь формулу разложения квадратного трехчлена на множители: ax2 + bx + c = a (x − x1)(x − x2), где x1 и x2 - корни квадратного уравнения.)
Аналогично,
Таким образом, предел равен
|
|
Пример 3
|
|
Вычислить предел  .
Решение.
Подстановка  показывает, что функция имеет неопределенность типа  . Разделим числитель и знаменатель на x3 ( x в наивысшей степени знаменателя). В результате получаем
|
|
Пример 4
|
|
Вычислить предел  .
Решение.
Перепишем знаменатель в виде
и разложим его как разность кубов:
В результате можно найти предел:
|
|
Пример 5
|
Вычислить предел  .
Решение.
Сделаем замену переменной:  . Тогда  . Получаем
Преобразуем полученное выражение, используя формулу приведения  . В результате находим значение предела
|
|
Пример 6
|
|
Вычислить предел  .
Решение.
Если  , то
Таким образом, здесь мы имеем дело с неопределенностью типа  . Умножим и разделим данную иррациональную функцию на сопряженное выражение.
Вычисляя предел каждого члена, получаем ответ:
|
|
Пример 7
|
|
Найти предел  .
Решение.
Для вычисления предела избавимся от иррациональностей в числителе и знаменателе, умножив их на соответствующие сопряженные выражения.
|
|
Пример 8
|
|
Найти предел  .
Решение.
Разделим числитель и знаменатель на x30 ( x в наивысшей степени). Получаем
|
|
Пример 9
|
|
Найти предел  .
Решение.
Используя формулы
преобразуем предел и найдем его значение:
|
|
Пример 10
|
|
Найти предел  .
Решение.
Пусть  . Тогда  при  . Следовательно,
|
|
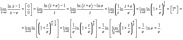
Пример 11
|
|
Найти предел  .
Решение.
Данная функция определена только при t ≥ 0. Умножим и разделим ее на сопряженное выражение  . Получаем
Теперь и числитель, и знаменатель стремятся к ∞ при  . Следовательно, разделим числитель и знаменатель на  - то есть t в наивысшей степени знаменателя. Тогда
|
|
Пример 12
|
|
Найти предел  .
Решение.
Используя тригонометричское тождество  , перепишем предел в следующем виде
В последнем выражении первый предел, очевидно, равен 1. Во втором пределе функция косинус ограничена в интервале от −1 до 1, а знаменатель стремится к ∞ при  . Поэтому, окончательный ответ равен
|
|