|
|
|
|
Формула Грина
|
|
Пусть в плоскости O xy задана область R, ограниченная замкнутой, кусочно-непрерывной и гладкой кривой C. Предположим, что в некоторой области, содержащей R, задана непрерывная векторная функция
с непрерывными частными производными первого порядка  . Тогда справедлива формула Грина
где символ  указывает, что кривая (контур) C является замкнутой, и обход при интегрировании вдоль этой кривой производится против часовой стрелки.
Если  , то формула Грина принимает вид
где S − это площадь области R, ограниченной контуром C.
Формулу Грина можно записать также в векторной форме. Для этого введем понятия ротора векторного поля.
Пусть векторное поле описывается функцией
Ротором или вихрем векторного поля  называется вектор, обозначаемый  или  и равный
Формула Грина в векторной форме записывается в виде
Заметим, что формула Грина вытекает из " теоремы Стокса" при переходе от трехмерного случая к случаю двух координат.
|
|
Пример 1
|
|
Используя формулу Грина, вычислить интеграл  , где кривая C − окружность радиуса R.
Решение.
Запишем компоненты векторного поля:
С помощью формулы Грина
преобразуем криволинейный интеграл в двойной:
Переходя к полярным координатам, находим искомый интеграл:
|
|
Пример 2
|
|
Используя формулу Грина, найти интеграл  , где кривая C представляет собой окружность, заданную уравнением  .
Решение.
Сначала запишем компоненты векторного поля
и определим частные производные:
Следовательно, интеграл можно записать в следующем виде
В последнем равенстве двойной интеграл  численно равен площади круга  , то есть  . Тогда интеграл равен
|
|
Пример 3
|
|
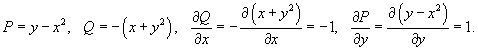
Используя формулу Грина, вычислить интеграл  . Кривая C представляет собой окружность  (рисунок 1), обход которой производится против часовой стрелки.
Решение.
Запишем компоненты векторного поля и их производные:
Тогда
где R − круг радиуса a с центром в начале координат. Переходя к полярным координатам, находим искомый интеграл:
|
|
Пример 4
|
|
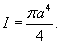
Используя формулу Грина, найти интеграл  , где кривая C представляет собой эллипс  (рисунок 2).
Решение.
Применим формулу Грина
Очевидно, здесь
Следовательно,
Поскольку двойной интеграл  численно равен площади эллипса  , то интеграл равен
|
|
Пример 5
|
|
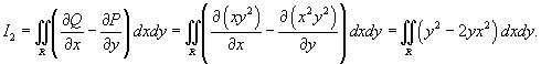
С помощью формулы Грина вычислить интеграл  , где контур C представляет собой треугольник ABD с вершинами A (a,0), B (a,a), D (0,a). (рисунок 3).
Решение.
В заданном криволинейном интеграле  , так что
Тогда по формуле Грина получаем
Уравнение стороны AD имеет вид  . Следовательно, полученный двойной интеграл вычисляется следующим образом
|
|
Пример 6
|
|
С помощью формулы Грина найти интеграл  . Контур C ограничивает сектор круга радиусом a, лежащий в первом квадранте (рисунок 4).
Решение.
В соответствии с формулой Грина
находим
Следовательно,
Переходя к полярным координатам, вычисляем интеграл
|
|
Пример 7
|
|
Вычислить интеграл  с использованием формулы Грина. Контур интегрирования C представляет собой квадрат с вершинами в точках A (1,0), B (0,1), D (−1,0), E (0,−1) (рисунок 5).
Решение.
В соответствии с формулой Грина запишем
Следовательно,
Найдем уравнения сторон квадрата:
Далее удобно ввести новые переменные. Пусть  . Уравнения сторон квадрата записываются через новые переменные u и v в виде
Как видно, образ S первоначальной области интегрирования R является "более симпатичным" квадратом (рисунок 6). Найдем якобиан для нашей замены переменных.
Соответственно, абсолютное значение определителя обратной матрицы равно
Тогда
и интеграл имеет значение
|
|
Пример 8
|
|
Вычислить интеграл  с помощью формулы Грина. Контур интегрирования C представляет собой окружность  (рисунок 7).
Решение.
Компоненты векторного поля и их частные производные равны
Тогда по формуле Грина получаем
Для вычисления двойного интеграла удобно перейти к полярным координатам.
Здесь
Таким образом, интеграл равен
|
|
Пример 9
|
|
Найти площадь области R, ограниченной астроидой  .
Решение.
Вычислим площадь заданной области с использованием криволинейного интеграла по формуле  . Запишем данную формулу в параметрическом виде:
Подставляя сюда уравнения астроиды, получаем
|
|
Пример 10
|
|
Проверить формулу Грина для векторного поля  и области интегрирования R, имеющей форму круга радиусом 2 с центром в начале координат.
Решение.
Вычислим сначала криволинейный интеграл для данного векторного поля. Контуром интегрирования будет служить соответствующая окружность − граница области R.
Используя параметрические уравнения окружности
получаем
Далее воспользуемся тригонометрической формулой
Тогда криволинейный интеграл I1 равен
Теперь вычислим двойной интеграл:
В полярных координатах он становится равным
Как видно, I1 = I2.
|
|
|
|