|
|
|
|
Теорема Стокса
|
|
Пусть S является гладкой поверхностью, ограниченной гладкой кривой C. Тогда для любой непрерывно дифференцируемой векторной функции
справедлива теорема Стокса:
где
− ротор векторного поля  .
Символ  показывает, что криволинейный интеграл вычисляется по замкнутой кривой.
Будем предполагать, что ориентация поверхности и направление обхода кривой соответствуют правилу правой руки. В этом случае при обходе кривой поверхность всегда остается слева, если голова направлена в ту же сторону, что и вектор нормали  (рисунок 1).
Теорема Стокса связывает между собой криволинейные интегралы второго рода и поверхностные интегралы второго рода.
В координатной форме теорема Стокса может быть записана в следующем виде:
|
|
Пример 1
|
|
Показать, что криволинейный интеграл  равен 0 вдоль любого замкнутого контура C.
Решение.
Обозначим через S поверхность, ограниченную замкнутой кривой C. Применяя формулу Стокса, можно записать
Тогда
Следовательно, находим значение криволинейного интеграла:
Утверждение доказано.
|
|
Пример 2
|
|
Используя формулу Стокса, вычислить криволинейный интеграл  , где кривая C образована пересечением сферы  плоскостью  .
Решение.
Обозначим через S круг, вырезаемый из заданной плоскости при пересечении со сферой. Определим координаты единичного вектора нормали  к поверхности S:
В нашем случае
Следовательно, ротор вектора  равен
По теореме Стокса получаем
Поскольку центр сферы  находится в начале координат, а плоскость  также проходит через начало координат, то сечением будет являться круг радиусом 1. Тогда интеграл имеет значение
|
|
Пример 3
|
|
Используя теорему Стокса, найти криволинейный интеграл  . Кривая C представляет собой пересечение цилиндра  и плоскости  .
Решение.
Обозначим через S часть плоскости, вырезаемую цилиндром. Пусть обход кривой C осуществляется против часовой стрелки, если смотреть из конечной точки вектора нормали  , координаты которого равны
Так как  , то можно записать
Далее, применяя формулу Стокса, находим
Проекция поверхности S на плоскость xy представляет собой круг  радиуса a. Поэтому, записывая уравнение плоскости в виде  и используя формулу
получаем
|
|
Пример 4
|
|
Вычислить криволинейный интеграл  , используя теорему Стокса. Кривая C имеет форму эллипса и определяется уравнениями  (рисунок 2 выше).
Решение.
Пусть поверхность S − это часть плоскости z = 1, ограниченная эллипсом. Очевидно, единичный вектор нормали к данной поверхности будет  . Поскольку
то ротор поля  равен
В соответствии с теоремой Стокса получаем
Двойной интеграл в последней формуле равен площади эллипса. Поэтому интеграл равен
|
|
Пример 5
|
|
Используя теорему Стокса, вычислить криволинейный интеграл  . Кривая C представляет собой треугольник с вершинами A(2,0,0), B(0,2,0), D(0,0,2) (рисунок 3).
Решение.
Пусть S будет плоскость треугольника ABD. Ориентация поверхности S и направление обхода контура C показаны ниже на рисунке 3.
Определим сначала нормальный вектор  :
Тогда
и, следовательно,
В нашем случае  , и ротор  равен
Применяя формулу Стокса, находим
Здесь двойной интеграл  равен площади треугольника ABD, которая составляет
Таким образом, интеграл имеет значение
|
|
Пример 6
|
|
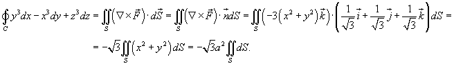
Найти интеграл  с использованием теоремы Стокса. Кривая C образована пересечением параболоида  с плоскостью  . (рисунок 4).
Решение.
Пусть S будет часть плоскости, вырезанная параболоидом. Ориентация поверхности S и направление обхода контура C показаны на рисунке 4. Из уравнения плоскости найдем вектор нормали  :
Так как
то ротор векторного поля  равен
По теореме Стокса находим
Поскольку  , то интеграл становится равным
Чтобы завершить расчеты, нужно определить двойной интеграл  , то есть найти площадь поверхности S.
Явное уравнение плоскости имеет вид  . Поэтому, по формуле
где D(x,y) − это проекция S на плоскость xy, получаем
Определим область интегрирования D(x,y). Решая систему уравнений
находим
Как видно, область D(x,y) − это круг радиуса  с центром в точке  . Тогда площадь области D(x,y) равна
Отсюда находим окончательное значение интеграла:
|
|
|
|