|  |  |  | 
          
         
          
            | 
                   Биномиальные ряды
               |  
            |  |  
            | 
                
                  
                    
                      | 
                          Действительные числа: x, nЦелые числа: m, n
 
 | 
                          Число сочетаний из n по m: Cnm
 |  
                  
                    
                      Биномиальный ряд представляет собой разложение в ряд Маклорена функции (1 + x)n и в общем случае записывается в виде где  − биномиальные коэффициенты, m − целое число, x − действительная (или комплексная) переменная, n − действительный (или комплексный) показатель степени.
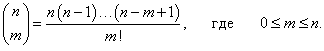
                      Биномиальные коэффициенты выражаются формулой
                      Биномиальный ряд сходится при следующих условиях (предполагается, что x и n − действительные числа):•  −1 < x < 1, если n < −1;
 •  −1 < x ≤ 1, если −1 < n < 0;
 •  −1 ≤ x ≤ 1, если n > 0.
                      Бином НьютонаВ случае целых степеней n биномиальный ряд представляет собой конечную сумму n + 1 слагаемых и называется биномом Ньютона:
                      Биномиальные коэффициенты как число сочетанийКоэффициенты в формуле бинома Ньютона равны числу неупорядоченных сочетаний из n по m элементов:
 При такой записи бином Ньютона выражается формулой Некоторые часто встречающиеся биномиальные разложения:
                      
                      
                    
                      
                      
                    
                      
                      
                    
                      
                      
                     
                   
                 |  
            |  |  |  |