|
Тригонометрические пределы
|
|
Основной тригонометрический предел (первый замечательный предел) имеет вид
Используя данный предел, можно получить ряд других тригонометрических пределов:
Здесь и далее предполагается, что углы измеряются в радианах.
|
|
Пример 1
|
|
Вычислить предел  .
Решение.
Так как  , то
|
|
Пример 2
|
|
Вычислить предел  .
Решение.
Преобразуем числитель в произведение:
В результате получаем
|
|
Пример 3
|
|
Вычислить предел  .
Решение.
Используем следующее тригонометрическое тождество:
Получаем
Поскольку cos 4x является непрерывной функцией при x = 0, то
|
|
Пример 4
|
|
Вычислить предел  .
Решение.
Используя формулу
преобразуем данный предел следующим образом:
Здесь sin (−a) является константой, не зависящей от x. Поэтому,
|
|
Пример 5
|
|
Вычислить предел  .
Решение.
Очевидно, что  Тогда
|
|
Пример 6
|
|
Найти предел  .
Решение.
Используя формулу
преобразуем предел:
Заменим переменную:  . Если  , то  Тогда
|
|
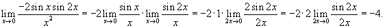
Пример 7
|
|
Найти предел  .
Решение.
Выполним следующие преобразования:
Поскольку  , то предел равен
Здесь
Следовательно,
Учитывая, что  при  , получаем окончательный ответ
|
|
Пример 8
|
|
Найти предел  .
Решение.
Сделаем подстановку:  . Если  , то  . Тогда
|
|
Пример 9
|
|
Найти предел  .
Решение.
Используем тригонометрическую формулу
Тогда предел можно преобразовать следующим образом:
Здесь мы учли, что предел остается неизменным при замене предельного перехода  на  .
|
|
Пример 10
|
|
Найти предел  .
Решение.
Используя тождество  , получаем
Очевидно, что в последнем выражении предел  равен 1 и  при  . В результате получаем ответ
|
|