Определение особого решения
Функция
φ(x) называется
особым решением дифференциального уравнения
F(x,y,y') = 0, если
единственность решения нарушается в каждой точке этой функции в области определения дифференциального уравнения. Геометрически это означает, что через каждую соответствующую точку
(x0,y0) проходит более одной интегральной кривой с общей касательной.
Примечание: Иногда используется более слабое определение особого решения, когда единственность решения нарушается лишь в некоторых точках.
Особое решение дифференциального уравнения не описывается общим интегралом. Поэтому, оно не выводится из общего решения ни при каком значении постоянной
C. Это можно проиллюстрировать следующим примером:
Пусть требуется решить уравнение
(y')2 − 4y = 0. Видно, что общее решение данного уравнения описывается функцией
y = (x + C)2. Графически общее решение представляется в виде семейства парабол (Рисунок 1).
Кроме этого, функция
y = 0 также удовлетворяет дифференциальному уравнению. Однако эта функция не содержится в общем решении! Поскольку через каждую точку прямой
y = 0 проходит более одной интегральной кривой, то единственность решения на этой прямой нарушается, и, следовательно, данная прямая является особым решением дифференциального уравнения.
p-дискриминант
Одним из способов нахождения особого решения является исследование так называемого
p-дискриминанта дифференциального уравнения. Если функция
F(x,y,y') и ее частные производные

,

непрерывны в области определения дифференциального уравнения, то особое решение находится из системы уравнений:
Уравнение
ψ(x,y) = 0, которое получается при решении данной системы, называется
p-дискриминантом дифференциального уравнения. Соответствующая кривая, определенная этим уравнением, называется
p-дискриминантной кривой.
После нахождения p-дискриминантной кривой необходимо проверить следующее:
- Является ли p-дискриминант решением дифференциального уравнения?
- Является ли p-дискриминант особым решением, то есть существуют ли другие интегральные кривые дифференциального уравнения, которые касаются p-дискриминантной кривой в каждой точке?
Это можно сделать следующим образом:
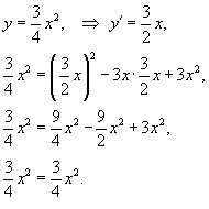
- Сначала нужно найти решение дифференциального уравнения (обозначим его как y1);
- Затем нужно записать условия касания кривой особого решения (обозначим его как y2) и семейства интегральных кривых общего решения y1 в произвольной точке x0:
Если данная система имеет решение в произвольной точке
x0, то функция
y2 будет являться особым решением. Особое решение обычно соответствует
огибающей семейства интегральных кривых общего решения дифференциального уравнения.
Огибающая семейства интегральных кривых и C-дискриминант
Другой способ нахождения особого решения в виде
огибающей семейства интегральных кривых основан на использовании
C-дискриминанта.
Пусть
Φ(x,y,C) является общим решением дифференциального уравнения
F(x,y,y') = 0. Графически уравнение
Φ(x,y,C) = 0 соответствует семейству интегральных кривых на плоскости
xy. Если функция
Φ(x,y,C) и ее частные производные непрерывны, то огибающая семейства интегральных кривых общего решения определяется системой уравнений:
Чтобы убедиться, что решение данной системы уравнений действительно является огибающей, можно воспользоваться методом, рассмотренным в предыдущем пункте.
Общий алгоритм нахождения особых точек
Более общий способ нахождения особых точек дифференциального уравнения основан на
одновременном использовании p-дискриминанта и C-дискриминанта.
Сначала мы определяем уравнения p-дискриминанта и C-дискриминанта:
- ψp(x,y) = 0 − уравнение p-дискриминанта;
- ψC(x,y) = 0 − уравнение C-дискриминанта;
Оказывается, что эти уравнения имеют определенную структуру. В общем случае, уравнение p-дискриминанта представляется в виде произведения трех функций:
где
E означает уравнение
огибающей,
T − уравнение
точек прикосновения и
C − уравнение
точек заострения.
Аналогично, уравнение C-дискриминанта также раскладывается на произведение трех функций:
где
E − уравнение
огибающей,
N − уравнение
узловых точек, а
C − уравнение
точек заострения.
Здесь мы имеем дело с новыми типами особых точек:
C - точки заострения,
T - точки прикосновения и
N - узловые точки. Их вид в плоскости
xy схематически представлен на рисунках 2-4.
Три типа особых точек из четырех, а именно: точки заострения, точки прикосновения и узловые точки, − являются внешними, то есть они не удовлетворяют дифференциальному уравнению и, поэтому, не являются особыми решениями дифференциального уравнения. Только уравнение огибающей будет являться особым решением. Поскольку огибающая входит в уравнения обоих дискриминантов в виде множителя в первой степени, то ее уравнение легко определяется из данной системы.