www.Math24.ru
Формулы и Таблицы
Главная
Математический анализ
Пределы и непрерывность
Дифференцирование
Интегрирование
Последовательности и ряды
Двойные интегралы
Тройные интегралы
Криволинейные интегралы
Поверхностные интегралы
Ряды Фурье
Дифференциальные уравнения
Уравнения 1-го порядка
Уравнения 2-го порядка
Уравнения N-го порядка
Системы уравнений
Формулы и таблицы
   Скалярное произведение векторов
Векторы: u, v, w
Модуль вектора: |u|, |v|
Нулевой вектор: 0
Единичные векторы: i, j, k
Угол между векторами: θ
Координаты векторов: X1, Y1, Z1, X2, Y2, Z2
Действительные числа: λ, μ
  1. Скалярным произведением векторов u и v называется произведение их модулей на косинус угла между ними.

    определение скалярного произведения двух векторов
    скалярное произведение векторов

  2. Скалярное произведение в координатной форме

    скалярное произведение векторов через их координаты

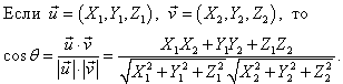
  3. Угол между двумя векторами

    угол между двумя векторами

    Здесь предполагается, что векторы u и v являются ненулевыми.

  4. Коммутативность скалярного произведения

    коммутативный закон скалярного произведения

  5. Ассоциативность скалярного произведения

    свойство ассоциативности скалярного произведения

  6. Дистрибутивность скалярного произведения

    дистрибутивное свойство скалярного произведения

  7. Скалярное произведение векторов u и v равно нулю, если векторы u и v перпендикулярны, или если вектор u или v или оба вектора являются нулевыми.

    случай скалярного произведения равного нулю

  8. Скалярное произведение векторов u и v положительно, если угол θ между векторами u и v острый.

    случай положительного скалярного произведения

  9. Скалярное произведение векторов u и v отрицательно, если угол θ между векторами u и v тупой.

    случай отрицательного скалярного произведения

  10. Скалярное произведение векторов меньше или равно произведению их модулей:

    скалярное произведение меньше или равно произведению длин векторов

  11. Скалярное произведение векторов u и v равно произведения их модулей, если только векторы u и v параллельны:

    скалярное произведение параллельных векторов

  12. Скалярный квадрат вектора равен квадрату его модуля:

    скалярный квадрат вектора

  13. Скалярные квадраты единичных координатных векторов

    скалярные квадраты единичных векторов

  14. Скалярное произведение несовпадающих единичных векторов

    скалярное произведение перпендикулярных единичных векторов


Все права защищены © www.math24.ru, 2009-2014  
Сайт оптимизирован для Chrome, Firefox, Safari и Internet Explorer.