|  |  |  | 
          
         
          
            | 
                   Свойства степенных рядов
               |  
            |  |  
            | 
                
                  
                    
                      | 
                          Функциональный ряд:   
                          Функции: f (x ), u0 (x ), u1 (x ), ..., un (x ) 
                          Степенные ряды:   ,    | 
                          Коэффициенты степенного ряда: a0, a1, ..., anРадиус сходимости: R
 Действительные числа: x, x0
 Целые числа: n
 
 |  
                  
                    
                      Ряд, члены которого являются функциями, называется функциональным рядом. В общем виде функциональный ряд записывается как где ui (x) − функции переменной x.
                      Функциональный ряд, членами которого являются степенные функции аргумента x, называется степенным рядом: где ai − коэффициенты степенного ряда (постоянные действительные числа).
                      Часто рассматривается степенной ряд, расположенный по степеням (x − x0): где точка x0 называется центром степенного ряда.
                      Интервал сходимости степенного рядаРассмотрим функцию
  . Ее областью определения является множество значений x, при которых ряд сходится. Данная область определения называется интервалом сходимости.
                      Радиус сходимости степенного рядаЕсли интервал сходимости представляется в виде (x0 − R, x0 + R), где R > 0, то величина R называется радиусом сходимости. Степенной ряд сходится абсолютно в каждой точке интервала сходимости. Сходимость в граничных точках x0 − R и x0 + R устанавливается отдельно.
                      Радиус сходимости по признаку Даламбера
                      Радиус сходимости по радикальному признаку Коши
                      Дифференцирование степенных рядовПусть дан степенной ряд
 имеющий радиус сходимости R > 0. Функция  является непрерывной при |x| < R. Степенной ряд внутри интервала сходимости можно дифференцировать почленно. Производная степенного ряда равна
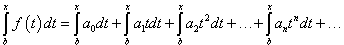
                      Интегрирование степенных рядовСтепенной ряд можно почленно интегрировать на отрезке, расположенном внутри интервала сходимости. Если −R < b < x < R, то справедливо соотношение
 Если интегрирование выполняется на отрезке [0, x], то интеграл выражается формулой 
                   
                 |  
            |  |  |  |