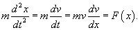
Второй закон Ньютона устанавливает связь между
силой 
, действующей на тело массы
m, и
ускорением 
, которое приобретает тело под действием этой силы.
Ускорение тела

прямо пропорционально действующей силе

и обратно пропорционально массе тела
m, то есть
Данная формулировка справедлива для систем с постоянной массой. В случае, когда масса тела изменяется (например, при релятивистском движении), второй закон Ньютона имеет вид
где

−
импульс (количество движения) тела.
В общем случае сила

зависит от координат тела, т.е. радиус-вектора

, его скорости

и времени
t:
Ниже мы рассмотрим частные случаи, когда сила

зависит лишь от одной из указанных переменных.
Сила зависит от времени: F = F(t)
В предположении, что движение одномерное, второй закон Ньютона в этом случае записывается в виде дифференциального уравнения второго порядка:
Интегрируя один раз, находим закон изменения скорости тела
v(t):
Здесь мы считаем, что тело начинает двигаться в момент
t = 0 с начальной скоростью
v(t = 0) = v0. Интегрируя еще раз, получаем закон движения
x(t):
где
x0 − начальная координата тела,
τ − переменная интегрирования.
Сила зависит от скорости: F = F(v)
При движении твердого тела в жидкой или газообразной среде на него действует сила сопротивления (или вязкого трения). При малых скоростях

эта сила пропорциональна скорости

:
Коэффициент
k, в свою очередь, пропорционален вязкости среды
η. В частности, если тело имеет шарообразную форму, то сила сопротивления описывается
законом Стокса:
где
R − радиус шара,
η − вязкость среды.
При таком режиме движения второй закон Ньютона записывается (в одномерном приближении) в виде следующего дифференциального уравнения:
Интегрируя это уравнение при начальном условии
v(t = 0) = v0, получаем
Здесь
u и
τ − переменные интегрирования. Скорость тела изменяется от
v0 до
v за время от 0 до
t. Следовательно,
Таким образом, если сила сопротивления среды пропорциональна скорости тела, то его скорость будет уменьшаться по экспоненциальному закону.
Закон движения
x(t) легко определяется повторным интегрированием:
Из последней формулы видно, что путь пройденный телом до полной остановки, будет равен

, т.е. пропорционален начальному импульсу тела
mv0.
При увеличении скорости движения тела физика процесса изменяется. Кинетическая энергия тела начинает расходоваться не только на трение между слоями жидкости, но и на перемещение объема жидкости впереди тела. В этом режиме сила сопротивления становится пропорциональной квадрату скорости:
где
μ − коэффициент пропорциональности,
S − площадь поперечного сечения тела,
ρ − плотность среды.
Описанный нелинейный режим возникает при условии
где
Re − безразмерное
число Рейнольдса,
η − вязкость среды,
L − характерный поперечный размер, например, радиус тела.
Рассматривая одномерное движение, запишем второй закон Ньютона для этого случая в виде
Интегрируя, находим закон изменения скорости:
Здесь
u и
τ снова обозначают переменные интегрирования. За время
t скорость тела будет уменьшаться от начального значения
v0 до конечного значения
v. В результате получаем
Интегрируем еще раз, чтобы найти закон движения
x(
t):
Необходимо учитывать, что полученные формулы справедливы при достаточно больших значениях скорости: при снижении скорости данная модель становится физически некорректной, поскольку сила сопротивления начинает линейно зависеть от скорости (Этот случай был рассмотрен нами ранее).
Сила зависит от координаты: F = F(x)
Примерами сил, зависящих лишь от координаты, является, в частности:
- Сила упругости F = −kx;
- Сила гравитационного притяжения
.
Движение тела массой
m (груза на пружинке) под действием силы упругости будет определяться дифференциальным уравнением
Это уравнение описывает незатухающие периодические колебания с периодом
В случае гравитационного притяжения движение тела описывается нелинейным дифференциальным уравнением
где
M − масса притягивающего тела (например, масса Земли или Солнца),
G − универсальная гравитационная постоянная.
Решение этого уравнения приводится на странице
Закон всемирного тяготения.
В случае, когда сила зависит от координаты, ускорение удобно представить в таком виде:
Тогда дифференциальное уравнение можно записать как
Разделяя переменные
v и
x, получаем
Последнее равенство выражает
закон сохранения энергии. Левая часть описывает изменение кинетической энергии, а правая часть − работу переменной силы
F(
x) при перемещении тела на расстояние
L.
Последующее интегрирование функции
v(
t) позволяет найти закон движения тела
x(
t). К сожалению, это не всегда можно сделать аналитически из-за громоздкости выражения для
v(
t).