| 
                   Логарифмическое дифференцирование
               | 
          
            |  | 
          
            | 
                Логарифмическим дифференцированием называется метод дифференцирования функций, при котором сначала находится логарифм функции, а затем вычисляется производная от него. Такой прием можно использовать для нахождения производных степенных, рациональных и некоторых иррациональных функций.
                 
                Рассмотрим этот подход более детально. Пусть дана функция y = f(x) . Возьмем натуральные логарифмы от обеих частей:
                 Теперь продифференцируем это выражение как сложную функцию, имея ввиду, что y  - это функция от x .
                 Отсюда видно, что искомая производная равна
                 Такая производная от логарифма функции называется логарифмической производной .
                 
                Данный метод позволяет также эффективно вычислять производные показательно-степенных функций , то есть функций вида
                 где u (x ) и v (x ) − дифференцируемые функции от x .
                 
                В приведенных ниже примерах вычислить производную функции y (x ), используя логарифмическое дифференцирование.
                
               | 
          
            | 
                   Пример 1
               | 
          
            |  | 
          
            | 
                
                        y = x x,  x > 0.
                 
                  Решение.
                 Сначала прологарифмируем левую и правую части уравнения:
                 Теперь продифференцируем обе части, имея ввиду, что y  − это функция от x :
                 | 
          
            | 
                   Пример 2
               | 
          
            |  | 
          
            | 
                
                        y = x ln x,  x > 0.
                 
                  Решение.
                 Применяем логарифмическое дифференцирование:
                 | 
          
            | 
                   Пример 3
               | 
          
            |  | 
          
            | 
                
                        y = x cos x,  x > 0.
                 
                  Решение.
                 Логарифмируем заданную функцию:
                 Дифференцируя последнее равенство по x , получаем:
                 Подставляем в правой части вместо y  исходную функцию:
                 где x > 0 .
                
               | 
          
            | 
                   Пример 4
               | 
          
            |  | 
          
            | 
                
                        y = x 2x,  (x > 0, x ≠ 1).
                 
                  Решение.
                 Логарифмируя обе части, записываем следующее равенство:
                 Далее дифференцируем левую и правую части:
                 | 
          
            | 
                   Пример 5
               | 
          
            |  | 
          
            | 
                
                        y = (x − 1)2 (x − 3)5.
                 
                  Решение.
                 Прологарифмируем сначала обе части:
                 Теперь легко найти логарифмическую производную:
                 В этом примере предполагается, что x > 3 .
                
               | 
          
            | 
                   Пример 6
               | 
          
            |  | 
          
            | 
                
                
                  Решение.
                 Возьмем логарифм от обеих частей:
                 Теперь продифференцируем левую и правую части:
                 | 
          
            | 
                   Пример 7
               | 
          
            |  | 
          
            | 
                
                
                  Решение.
                 Прологарифмируем данное равенство:
                 Дифференцируя обе части по x , находим:
                 или
                 | 
          
            | 
                   Пример 8
               | 
          
            |  | 
          
            | 
                
                        y = (ln x) x,  x > 1.
                 
                  Решение.
                 Следуя общей схеме, имеем:
                 Вычисляем логарифмическую производную:
                 | 
          
            | 
                   Пример 9
               | 
          
            |  | 
          
            | 
                
                        y = x x 2,  (x > 0, x ≠ 1).
                 
                  Решение.
                 Предварительно логарифмируя обе части, получаем:
                 Теперь можно легко вычислить производную:
                 | 
          
            | 
                   Пример 10
               | 
          
            |  | 
          
            | 
                
                        y = x x n,  (x > 0, x ≠ 1).
                 
                  Решение.
                 Логарифмируем обе части:
                 Следовательно,
                 | 
          
            | 
                   Пример 11
               | 
          
            |  | 
          
            | 
                
                        y = x 2 x,  (x > 0, x ≠ 1).
                 
                  Решение.
                 Дифференцируем обе части равенства:
                 | 
          
            | 
                   Пример 12
               | 
          
            |  | 
          
            | 
                
                        y = 2 x x,  (x > 0, x ≠ 1).
                 
                  Решение.
                 Дифференцируя как сложную функцию, находим:
                 Производная показательно-степенной функции x x  вычислена в примере 1. Подставляя ее, получаем: | 
          
            | 
                   Пример 13
               | 
          
            |  | 
          
            |  | 
          
            | 
                   Пример 14
               | 
          
            |  | 
          
            | 
                
                
                  Решение.
                 Будем рассматривать данную функцию при x > 2 . Тогда логарифмируя левую и правую части равенства, имеем:
                 Дифференцируя, находим производную y' :
                 | 
          
            | 
                   Пример 15
               | 
          
            |  | 
          
            | 
                
                        y = x x x,  (x > 0, x ≠ 1).
                 
                  Решение.
                 Логарифмируем заданную функцию:
                 Дифференцируя обе части по x , получаем:
                 В примере 1 мы уже вычислили производную функции y = x x. Подставляя ее в верхнее соотношение, получаем следующее выражение для производной исходной функции: | 
          
            | 
                   Пример 16
               | 
          
            |  | 
          
            |  | 
          
            | 
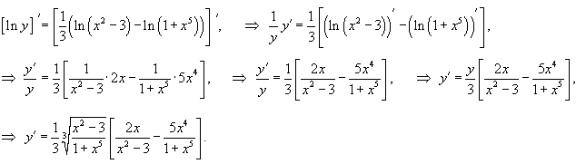
                   Пример 17
               | 
          
            |  | 
          
            | 
                
                        y = sin x cos x.
                 
                  Решение.
                 В данном примере предполагается, что переменная x  удовлетворяет области определения, имеющей вид:
                 Прологарифмируем обе части равенства и затем продифференцируем.
                 | 
          
            | 
                   Пример 18
               | 
          
            |  | 
          
            | 
                
                
                  Решение.
                 Сначала возьмем логарифм от обеих частей:
                 Дифференцируя левую и правую части соотношения, получаем
                 Следовательно, производная равна
                 | 
          
            | 
                   Пример 19
               | 
          
            |  | 
          
            | 
                
                        y = (cos x) arcsin x.
                 
                  Решение.
                Логарифмируем обе части равенства:
                Далее дифференцируя, получаем
                Область определения данной функции и ее производной описывается следующими неравенствами: | 
          
            | 
                   Пример 20
               | 
          
            |  | 
          
            | 
                
                        y = (sin x) arctan x.
                 
                  Решение.
                Дифференцируя обе части по x, находим производную:
                Здесь аргумент x удовлетворяет условию: 
                   
                 | 
          
            |  |