|
|
|
|
Криволинейные интегралы второго рода
|
|
Определение
Предположим, что кривая C задана векторной функцией  , где переменная s − длина дуги кривой. Тогда производная векторной функции
представляет собой единичный вектор, направленный вдоль касательной к данной кривой (рисунок 1).
В приведенной выше формуле α, β и γ − углы между касательной и положительными направлениями осей Ox, Oy и Oz, соответственно.
Введем векторную функцию  , определенную на кривой C, так, чтобы для скалярной функции
существовал криволинейный интеграл  . Такой интеграл  называется криволинейным интегралом второго рода от векторной функции  вдоль кривой C и обозначается как
Таким образом, по определению,
где  − единичный вектор касательной к кривой C.
Последнюю формулу можно переписать также в векторной форме:
где  .
Если кривая C лежит в плоскости O xy, то полагая R = 0, получаем
Свойства криволинейного интеграла второго рода
Криволинейный интеграл II рода обладает следующими свойствами:
- Пусть C обозначает кривую с началом в точке A и конечной точкой B. Обозначим через −C кривую противоположного направления - от B к A. Тогда
- Если C − объединение кривых C1 и C2 (рисунок 2 выше), то
- Если кривая C задана параметрически в виде
, то
- Если кривая C лежит в плоскости Oxy и задана уравнением
(предполагается, что R =0 и t = x), то последняя формула записывается в виде
|
|
Пример 1
|
|
Вычислить интеграл  , где кривая C задана параметрически в виде  .
Решение.
Используя формулу
находим ответ:
|
|
Пример 2
|
|
Найти интеграл  вдоль кривой C, заданной уравнением  , от точки (0,0) до (2,8).
Решение.
Для вычисления данного криволинейного интеграла воспользуемся формулой
Подставляя  и  в подынтегральное выражение, получаем
|
|
Пример 3
|
|
Вычислить  вдоль кривой  от точки O (0,0) до A (1,1) (рисунок 3 ниже).
Решение.
Используем формулу
Подставляя  и  в подынтегральное выражение, находим ответ:
|
|
Пример 4
|
|
Вычислить  вдоль кривой  от точки O (0,0) до A (1,1) (рисунок 3).
Решение.
Если  , то по формуле
получаем
|
|
Пример 5
|
|
Вычислить криволинейный интеграл  вдоль кривой  в интервале  (рисунок 4).
Решение.
Поскольку  , то дифференциал равен  . В соответствии с формулой
находим решение
|
|
Пример 6
|
|
Вычислить криволинейный интеграл  , где C − дуга окружности, лежащая в первом квадранте, обход которой осуществляется против часовой стрелки (рисунок 5).
Решение.
Очевидно, что дуга окружности описывается функцией  , a − радиус окружности. (Мы взяли положительное значение корня, поскольку y > 0 в первом квадранте.) Тогда дифференциал равен
Поскольку мы обходим кривую в направлении против часовой стрелки, то верхний и нижний пределы интегрирования равны, соответственно, a и 0. Следовательно,
|
|
Пример 7
|
|
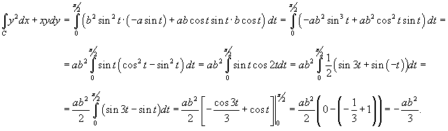
Вычислить криволинейный интеграл  , где C − дуга эллипса (рисунок 6), заданного параметрически в виде  .
Решение.
Запишем все выражения через параметр t:
Далее, используя формулу
можно записать
|
|
Пример 8
|
|
Найти интеграл  вдоль линии C, представляющей собой отрезок прямой от точки A (1,1,1) до точки B (2,3,4) (рисунок 7).
Решение.
Сначала составим уравнение прямой AB.
Введем параметр t:
и перепишем уравнение прямой в параметрической форме:
Далее применяем формулу
Очевидно, что параметр t изменяется в интервале [0,1]. Тогда криволинейный интеграл равен
|
|
|
|