|
|
|
|
Интегрирование некоторых классов тригонометрических функций
|
|
В данном разделе мы рассмотрим 8 специальных классов интегралов от тригонометрических функций. Для каждого класса применяются определенные преобразования и подстановки, позволяющие получить аналитическое решение.
1. Интегралы вида  Для решения данных интегралов применяются формулы преобразования произведения тригонометрические функций в сумму или разность:
2. Интегралы вида  Здесь и везде ниже предполагается, что m и n - натуральные числа. Для вычисления таких интегралов используются следующие подстановки и преобразования:
- Если степень косинуса n - нечетная (при этом степень синуса m может быть любой), то используется подстановка
.
- Если степень синуса m - нечетная, то используется подстановка
.
- Если степени m и n - четные, то сначала применяются формулы двойного угла
чтобы понизить синуса или косинуса в подынтегральном выражении. Затем, если необходимо, применяются правила a) или b).
3. Интегралы вида  Степень подынтегрального выражения в данном интеграле можно понизить с помошью тригонометрического соотношения  и формулы редукции
4. Интегралы вида  Здесь степень подынтегрального выражения понижается с помошью соотношения  и формулы редукции
5. Интегралы вида  Данный тип интеграла упрощается с помощью следующей формулы редукции:
6. Интегралы вида  Аналогично предыдущим пунктам, интеграл упрощается с помощью формулы
7. Интегралы вида 
- Если степень секанса n - четная, то c помошью соотношения
секанс выражается через тангенс. При этом множитель отделяется и используется для преобразования дифференциала. В результате весь интеграл (включая дифференциал) выражается через функцию tg x.
- Если обе степени n и m - нечетные, то отделяется множитель sec x tg x, необходимый для преобразования дифференциала. Далее весь интеграл выражается через sec x.
- Если степень секанса n - нечетная, а степень тангенса m - четная, то тангенс выражается через секанс с помощью формулы
. Затем вычисляются интегралы от секанса.
8. Интегралы вида 
- Если степень косеканса n - четная, то c помошью соотношения
косеканс выражается через котангенс. При этом множитель отделяется и используется для преобразования дифференциала. В результате подынтегральная функция и дифференциал выражаются через ctg x.
- Если обе степени n и m - нечетные, то отделяется множитель ctg x cosec x, необходимый для преобразования дифференциала. Далее интеграл выражается через cosec x.
- Если степень косеканса n - нечетная, а степень котангенса m - четная, то котангенс выражается через косеканс с помощью формулы
. Далее вычисляются интегралы от косеканса.
|
|
Пример 1
|
|
Вычислить интеграл  .
Решение.
Пусть u = cos x, du = − sin xdx. Тогда
|
|
Пример 2
|
|
Вычислить  .
Решение.
Делая замену u = sin x, du = cos xdx и используя соотношение  , получаем
|
|
Пример 3
|
|
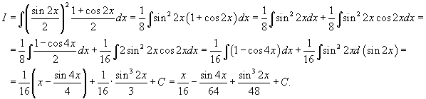
Вычислить интеграл  .
Решение.
Применив соотношения  и  , можно записать
Вычислим интегралы в полученном выражении.
Чтобы найти интеграл  , сделаем замену u = sin 2x, du = 2cos 2xdx. Тогда
Следовательно, исходный интеграл равен
|
|
Пример 4
|
|
Найти интеграл  .
Решение.
Перепишем интеграл в виде
Преобразуем подынтегральное выражение с помощью соотношений
Получаем
|
|
Пример 5
|
|
Найти интеграл  .
Решение.
Делая замену u = cos x, du = − sin xdx и выражая синус через косинус с помощью формулы  , получаем
|
|
Пример 6
|
|
Вычислить интеграл  .
Решение.
Преобразуем подынтегральное соотношение по формуле
Следовательно,
Тогда интеграл равен
|
|
Пример 7
|
|
Вычислить интеграл  .
Решение.
Используем для преобразования интеграла соотношение  . Получаем
|
|
Пример 8
|
|
Вычислить интеграл  .
Решение.
Используя соотношение  , находим
|
|
Пример 9
|
|
Вычислить  .
Решение.
Используем формулу редукции
Следовательно,
Интеграл  является табличным и равен  . (Он легко вычисляется с помощью универсальной тригонометрической подстановки  .) В результате интеграл равен
|
|
Пример 10
|
|
Вычислить интеграл  .
Решение.
Применяя к подынтегральной функции формулу редукции
получим
|
|
Пример 11
|
|
Найти интеграл  .
Решение.
|
|
Пример 12
|
|
Найти интеграл  .
Решение.
Выразим тангенс через секанс с помощью соотношения  . Тогда интеграл принимает вид
Поскольку  (см. пример 9), а интеграл  является табличным и равен  , то получаем окончательный ответ в виде
|
|
|
|