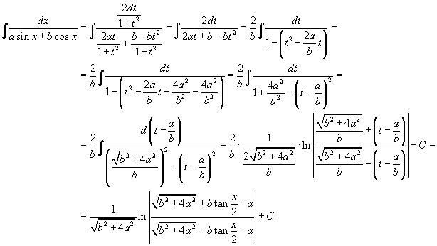
Интегрирование любого рационального выражения тригонометрических функций можно всегда свести к интегрированию алгебраической рациональной функции используя универсальную тригонометрическую подстановку
x = 2arctg t (или

).
Для преобразования рациональных выражений от
sin x, cos x, tg x, ctg x, sec x и cosec x в алгебраические рациональные функции переменной
t применяются следующие тригонометрические формулы:
Чтобы вычислить интеграл вида

, где
R - рациональная функция, используется подстановка

.
Аналогично, для вычисления интеграла вида

, где
R - рациональная функция, используется подстановка

.
Если подынтегральное выражение является только функцией tg
x, то подстановка
t = tg x преобразует такой интеграл в интеграл от рациональной функции.
Для вычисления интеграла вида

, где обе функции sin
x и cos
x входят в четной степени, применяется подстановка
t = tg x и формулы