www.Math24.ru
Формулы и Таблицы
Главная
Математический анализ
Пределы и непрерывность
Дифференцирование
Интегрирование
Последовательности и ряды
Двойные интегралы
Тройные интегралы
Криволинейные интегралы
Поверхностные интегралы
Ряды Фурье
Дифференциальные уравнения
Уравнения 1-го порядка
Уравнения 2-го порядка
Уравнения N-го порядка
Системы уравнений
Формулы и таблицы
   Интегралы от рациональных функций
Аргумент (независимая переменная): x
Действительные числа: C, a, b, c, p, n
Дискриминант квадратного уравнения: D
  1. Функция или дробь называется рациональной, если она представляется в виде отношения двух многочленов. Рациональная функция является правильной, если степень многочлена в числителе меньше степени многочлена в знаменателе. Ниже приводится список интегралов от часто встречающихся рациональных функций.

  2. Интеграл от постоянного числа

    интеграл от постоянного числа

  3. Интеграл от x

    интеграл от x

  4. Интеграл от x2

    интеграл от x в квадрате

  5. Интеграл от степенной функции

    интеграл от степенной функции

  6. Интеграл от линейной функции в степени n

    интеграл от линейной функции в степени n

  7. Интеграл от обратно пропорциональной функции

    интеграл от функции 1/x

  8. Интеграл от дробной функции с линейным знаменателем

    интеграл от дроби с линейным знаменателем

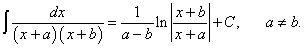
  9. Интеграл от дробно-линейной функции

    интеграл от дробной функции с линейным числителем и знаменателем

  10. интеграл от произведения линейных функций в знаменателе

  11. интеграл от рациональной функции вида x/(ax+b)

  12. интеграл от рациональной функции вида x^2/(ax+b)

  13. интеграл от рациональной функции вида 1/[x(ax+b)]

  14. интеграл от рациональной функции вида 1/[x^2(ax+b)]

  15. интеграл от рациональной функции вида x/(ax+b)^2

  16. интеграл от рациональной функции вида x^2/(ax+b)^2

  17. интеграл от рациональной функции вида 1/[x(ax+b)^2]

  18. интеграл от рациональной функции вида 1/(x^2-1)

  19. интеграл от рациональной функции вида 1/(1-x^2)

  20. интеграл от рациональной функции вида 1/(a^2-x^2)

  21. интеграл от рациональной функции вида 1/(x^2-a^2)

  22. интеграл от рациональной функции вида 1/(1+x^2)

  23. интеграл от рациональной функции вида 1/(a^2+x^2)

  24. интеграл от рациональной функции вида x/(x^2+a^2)

  25. интеграл от рациональной функции вида 1/(a+bx^2)

  26. интеграл от рациональной функции вида x/(a+bx^2)

  27. интеграл от рациональной функции вида 1/[x(a+bx^2)]

  28. интеграл от рациональной функции вида 1/(a^2-b^2*x^2)

  29. Интеграл от рациональной дроби с квадратичной функцией в знаменателе
    (случай положительного дискриминанта)

    интеграл от дробной функции с квадратичным знаменателем и положительном дискриминанте

  30. Интеграл от рациональной дроби с квадратичной функцией в знаменателе
    (случай отрицательного дискриминанта)

    интеграл от дробной функции с квадратичным знаменателем и отрицательном дискриминанте


Все права защищены © www.math24.ru, 2009-2014  
Сайт оптимизирован для Chrome, Firefox, Safari и Internet Explorer.