www.Math24.ru
Математический Анализ
Главная
Математический анализ
Пределы и непрерывность
Дифференцирование
Интегрирование
Последовательности и ряды
Двойные интегралы
Тройные интегралы
Криволинейные интегралы
Поверхностные интегралы
Ряды Фурье
Дифференциальные уравнения
Уравнения 1-го порядка
Уравнения 2-го порядка
Уравнения N-го порядка
Системы уравнений
Формулы и таблицы
   Неопределенный интеграл и его свойства. Таблица интегралов.
Определение первообразной и неопределенного интеграла
Функция F(x) называется первообразной функции f(x), если
Множество всех первообразных некоторой функции f(x) называется неопределенным интегралом функции f(x) и обозначается как
Таким образом, если F - некоторая частная первообразная, то справедливо выражение
где С - произвольная постоянная.

Свойства неопределенного интеграла
В приведенных ниже формулах f и g - функции переменной x, F - первообразная функции f,
а, k, C - постоянные величины.




Таблица интегралов
В формулах ниже предполагается, что a, p (p ≠ 1), C - действительные постоянные, b - основание показательной функции (b ≠ 1, b > 0).
   
   
   
   
   
   
   
   
   
   
   
   
   
   
   
   

   Пример 1
Вычислить .

Решение.
     
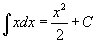
   Пример 2
Вычислить интеграл .

Решение.
Преобразуя выражение и применяя формулу для интеграла степенной функции, получаем
     
   Пример 3
Вычислить .

Решение.
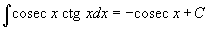
Используем табличный интеграл . Тогда
     
   Пример 4
Вычислить .

Решение.
Воспользовавшись табличным интегралом , находим
     
   Пример 5
Вычислить .

Решение.
Поскольку , интеграл равен
     
   Пример 6
Вычислить интеграл без использования замены переменной.

Решение.
Используя формулу двойного угла sin 2x = 2 sin x cos x и тождество sin2x + cos2x = 1, получаем
     

Все права защищены © www.math24.ru, 2009-2014  
Сайт оптимизирован для Chrome, Firefox, Safari и Internet Explorer.