Определенный интеграл

называется
несобственным интегралом, если выполняется, по крайней мере, одно из следующих условий:
- Предел a или b (или оба предела) являются бесконечными;
- Функция f (x) имеет одну или несколько точек разрыва внутри интервала [a,b].
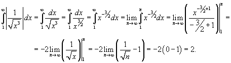
Бесконечные пределы интегрирования
Пусть
f (x) является непрерывной функцией в интервале
[a, ∞). Несобственный интеграл определяется через предел следующим образом:
Рассмотрим также случай, когда функция
f (x) непрерывна в интервале
(−∞, b]. В этом случае несобственный интеграл определяется как
Если указанные выше пределы существуют и конечны, то говорят что несобственные интегралы
сходятся.
В противном случае интегралы
расходятся.
Пусть
f (x) является непрерывной функцией на множестве действительных чисел. Тогда справедливо соотношение
Если для некоторого действительного числа
c оба интеграла в правой части сходятся, то говорят, что интеграл

также сходится; в противном случае он расходится.
Теоремы сравнения
Пусть
f (x) и
g (x) является непрерывными функциями в интервале
[a, ∞). Предположим, что

для всех
x в интервале
[a, ∞).
- Если
сходится, то
также сходится;
- Если
расходится, то
также расходится;
- Если
сходится, то
также сходится. В этом случае говорят, что интеграл
является абсолютно сходящимся.
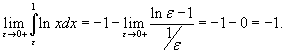
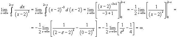
Интеграл от разрывной функции
Пусть функция
f (x) непрерывна в интервале
[a,b), но имеет разрыв в точке
x = b. В этом случае
несобственный интеграл определяется в виде
Аналогично можно рассмотреть случай, когда функция
f (x) непрерывна в интервале
(a,b], но имеет разрыв при
x = a. Тогда
Если приведенные выше пределы существуют и конечны, то говорят, что соответствующие несобственные интегралы
сходятся. В противном случае они считаются
расходящимися.
Пусть
f (x) непрерывна для всех действительных
x в интервале
[a,b], за исключением некоторой точки

. Тогда справедливо соотношение
и говорят, что несобственный интеграл

сходится, если оба интеграла в правой части верхнего равенства сходятся. В противном случае несобственный интеграл расходится.