| 
                   Производная неявной функции
               | 
          
            |  | 
          
            | 
                Если функция описывается уравнением y = f(x) , где переменная y  находится в левой части, а правая часть зависит только от аргумента x , то говорят, что функция задана в явном виде . Например, следующие функции заданы явно:
                 Во многих задачах, однако, функция может быть задана неявным образом , т.е. в виде уравнения
                 Конечно, любую явную функцию можно записать в неявном виде. Так указанные выше функции можно представить как
                 Обратное преобразование можно выполнить далеко не всегда. Часто встречаются функции, заданные неявным уравнением, которые невозможно разрешить относительно переменной y . Например, для приведенных ниже функций
                 невозможно получить зависимость y (x ) в явном виде.
                 
                Хорошая новость состоит в том, что для нахождения производной y' (x ) неявно заданной функции нет необходимости преобразовывать ее в явную форму. Для этого, зная уравнение F(x, y) = 0 , достаточно выполнить следующие действия:
                 
                  Сначала необходимо продифференцировать обе части уравнения по переменной x, предполагая,что y - это дифференцируемая функция x и используя правило вычисления производной от сложной функции. При этом производная нуля (в правой части) также будет равна нулю.
 
 Замечание: Если правая часть отлична от нуля, т.е. неявное уравнение имеет вид
                    то дифференцируем левую и правую части уравнения.
 Решить полученное уравнение относительно производной  y'(x). Описанный алгоритм нахождения производной неявной функции используется в приведенных ниже примерах.
                
               | 
          
            | 
                   Пример 1
               | 
          
            |  | 
          
            | 
                Найти производную функции, заданной уравнением y2 = 2px , где p  − параметр.
                 
                  Решение.
 Данное уравнение представляет собой каноническое уравнение параболы . Дифференцируя левую и правую части по x , получаем:
                 | 
          
            | 
                   Пример 2
               | 
          
            |  | 
          
            | 
                Продифференцировать функцию y(x) , заданную уравнением   .
                 
                  Решение.
 Продифференцируем обе части уравнения по переменной x :
                 что приводит к результату
                 | 
          
            | 
                   Пример 3
               | 
          
            |  | 
          
            | 
                Найти уравнение касательной к кривой x 4 + y 4 = 2  в точке (1;1). 
                  Решение.
 Продифференцируем обе части уравнения кривой по x :
                 Тогда   . В точке (1;1)  соответственно находим, что y'(1) = −1 . Следовательно, уравнение касательной в данной точке имеет вид
                 | 
          
            | 
                   Пример 4
               | 
          
            |  | 
          
            | 
                Вычислить производную функции y(x) , заданной уравнением    при условии y = 1. 
                  Решение.
 Дифференцируем обе части уравнения по x  (левую часть дифференцируем как сложную функцию):
                 Если y = 1,  то из исходного уравнения находим
                 Подставим значения x = −1  и y = 1 , получаем:
                 Отсюда следует, что y' = 0  при y = 1. | 
          
            | 
                   Пример 5
               | 
          
            |  | 
          
            | 
                Дано уравнение окружности x 2 + y 2 = r 2  с центром в начале координат и радиусом r . 
                Найти производную y'(x). 
                  Решение.
 Продифференцируем по x  обе части уравнения:
                 В данном случае мы можем получить и явное выражение для производной. Например, для верхней полуокружности, зависимость y(x)  имеет явный вид   . Отсюда находим, что производная равна
                 | 
          
            | 
                   Пример 6
               | 
          
            |  | 
          
            | 
                Вычислить производную функции, заданной уравнением x3 + y3 = 3xy .
                 
                  Решение.
 Дифференцируем левую и правую части уравнения по x , рассматривая y  как сложную функцию от x :
                 Из полученного соотношения найдем y'  :
                 Данная производная существует при условии
                 | 
          
            | 
                   Пример 7
               | 
          
            |  | 
          
            | 
                
                
                  Решение.
                 Записанное уравнение представляет собой уравнение эллипса . Дифференцируя обе части и учитывая, что y − функция  от x , получаем:
                 | 
          
            | 
                   Пример 8
               | 
          
            |  | 
          
            | 
                
                        3x + 3y = 3x+y.
                 
                  Решение.
                 Дифференцируем обе части и решаем полученное уравнение относительно y'  :
                 | 
          
            | 
                   Пример 9
               | 
          
            |  | 
          
            | 
                Найти производную астроиды  x2/3 + y2/3 = a2/3. 
                  Решение.
 Дифференцируем заданное уравнение по x :
                 | 
          
            | 
                   Пример 10
               | 
          
            |  | 
          
            | 
                Найти производную y' (x ) функции, описывающей общее уравнение кривой второго порядка :
                 
                  Решение.
                 Дифференцируем данное уравнение по x , принимая во внимание, что y − это функция  от x :
                 | 
          
            | 
                   Пример 11
               | 
          
            |  | 
          
            | 
                Найти значение производной y' (x ) в точке x = 0  для функции, заданной уравнением ey + xy = e. 
                  Решение.
 Дифференцируя обе части, получаем следующее соотношение:
                 Отсюда находим производную:
                 Вычислим значение функции y  при x = 0 :
                 Тогда производная в точке (0, 1)  равна
                 | 
          
            | 
                   Пример 12
               | 
          
            |  | 
          
            | 
                
                        x sin y + y cos x = 0.
                 
                  Решение.
                 Как обычно, дифференцируем обе части по x :
                 Используя формулу производной произведения, находим:
                 | 
          
            | 
                   Пример 13
               | 
          
            |  | 
          
            | 
                
                        y = sin(x − y).
                 
                  Решение.
                 Дифференцируем обе части уравнения по x :
                 где производная y'  определена при условии
                 | 
          
            | 
                   Пример 14
               | 
          
            |  | 
          
            | 
                
                        y = sin(x + y).
                 
                  Решение.
                 Видно, что производная определена при условии
                 | 
          
            | 
                   Пример 15
               | 
          
            |  | 
          
            | 
                
                
                  Решение.
                 Следуя описанной схеме, имеем:
                 Из последнего равенства находим производную:
                 Заметим, что данная функция не существует при y = 0 . В то же время производная не существует как при y = 0 , так и при x = 0 .
                
               | 
          
            | 
                   Пример 16
               | 
          
            |  | 
          
            | 
                
                        x2 + y + ln(x + y) = 0,    (x + y > 0).
                 
                  Решение.
                 Вычисляем производную y' (x ) по общей схеме, рассмотренной выше. В результате получаем:
                 | 
          
            | 
                   Пример 17
               | 
          
            |  | 
          
            | 
                Найти производную в точке x = 2  функции, заданной уравнением
                 
                  Решение.
                 Предварительно вычислим значение функции y  в точке x = 2 :
                 Теперь дифференцируем заданное уравнение по x :
                 Подставляя координаты точки (x = 2, y = −3) , находим значение производной:
                 | 
          
            | 
                   Пример 18
               | 
          
            |  | 
          
            | 
                
                
                  Решение.
                 Используя правила дифференцирования произведения функций, частного функций и сложной функции, получаем:
                 Разрешим это уравнение относительно y'  :
                 где предполагается, что y ≠ x .
                
               | 
          
            | 
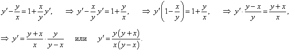
                   Пример 19
               | 
          
            |  | 
          
            | 
                Найти производную функции, заданной уравнением x + y = arctan (xy). 
                  Решение.
 Дифференцируем обе части уравнения по x :
                 Используя формулу производной произведения, можно записать:
                 Следовательно,
                 Заметим, что в данном примере производная y'  существует при условии
                 | 
          
            | 
                   Пример 20
               | 
          
            |  | 
          
            | 
                
                        x y = y x.
                 
                  Решение.
                 Предварительно прологарифмируем обе части уравнения:
                 Здесь предполагается, что x > 0  и y > 0 . Кроме того, x ≠ 1  и y ≠ 1  как основания показательных функций.
                 
                Дифференцируя обе части равенства по x  и учитывая, что y  − функция от x , получаем:
                 Заметим, что помимо ограничений на допустимые значения x , указанных выше, производная терпит разрыв при условии
                 
                   
                 | 
          
            |  |