|
|
|
|
Точки разрыва функции
|
|
Если функция f (x) не является непрерывной в точке x = a, то говорят, что f (x) имеет разрыв в этой точке. На рисунке 1 схематически изображены графики четырех функций, две из которых непрерывны при x = a, а две имеют разрыв.
|
|
|
|
|
Непрерывна при x = a.
|
|
Имеет разрыв при x = a.
|
|
|
|
|
|
Непрерывна при x = a.
|
|
Имеет разрыв при x = a.
|
|
Рисунок 1.
|
Классификация точек разрыва функции
Все точки разрыва функции разделяются на точки разрыва первого и второго рода.
Говорят, что функция f (x) имеет точку разрыва первого рода при x = a, если в это точке
- Существуют левосторонний предел
и правосторонний предел ;
- Эти односторонние пределы конечны.
При этом возможно следующие два случая:
- Левосторонний предел и правосторонний предел равны друг другу:
Такая точка называется точкой устранимого разрыва.
- Левосторонний предел и правосторонний предел не равны друг другу:
Такая точка называется точкой конечного разрыва. Модуль разности значений односторонних пределов
называется скачком функции.
Функция f (x) имеет точку разрыва второго рода при x = a, если по крайней мере один из односторонних пределов не существует или равен бесконечности.
|
|
Пример 1
|
|
Исследовать функцию  на непрерывность.
Решение.
Данная функция не определена в точках x = −1 и x = 1. Следовательно, функция имеет разрывы в точках x = ±1. Чтобы определить тип разрыва, вычислим односторонние пределы в этих точках.
Поскольку левосторонний предел при x = −1 равен бесконечности, то данная точка является точкой разрыва второго рода.
Аналогично, левосторонний предел в точке x = 1 равен бесконечности. Эта точка также является точкой разрыва второго рода.
|
|
Пример 2
|
|
Показать, что функция  имеет устранимый разрыв в точке x = 0.
Решение.
Очевидно, данная функция не определена при x = 0. Поскольку sin x является непрерывной функцией для всех x, то искомая функция  также непрерывна при всех x за исключением точки x = 0.
Так как  , то в данной точке существует устранимый разрыв. Мы можем сконструировать новую функцию
которая будет непрерывной при любом действительном x.
|
|
Пример 3
|
|
Найти точки разрыва функции  , если они существуют.
Решение.
Данная функция существует при всех значениях x, однако она состоит из двух различных функций и, поэтому, не является элементарной. Исследуем "поведение" этой функции вблизи точки x = 0, где ее аналитическое выражение изменяется.
Вычислим односторонние пределеы при x = 0.
Следовательно, функция имеет точку разрыва первого рода при x = 0. Скачок функции в этой точке равен
При всех других значениях x функция является непрерывной, поскольку обе составляющие функции слева и справа от точки x = 0 представляют собой элементарные функции без точек разрыва.
|
|
Пример 4
|
|
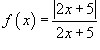
Найти точки разрыва функции  , если они существуют.
Решение.
Данная элементарная функция определена для всех x, исключая точку x = 0, где она имеет разрыв. Найдем односторонние пределы в этой точке.
Видно, что в точке x = 0 существует разрыв первого рода (рисунок 2).
|
|
Пример 5
|
|
Найти точки разрыва функции  , если таковые существуют.
Решение.
Функция определена и непрерывна при всех x, за исключением точки  , где существует разрыв. Исследуем точку разрыва.
Так как значения односторонних пределов конечны, то, следовательно, в точке  существует разрыв первого рода. График функции схематически показан на рисунке 3.
|
|
|
|