Примеры дифференциальных операторов
                
Дифференциальные операторы представляют собой обобщение 
операции дифференцирования. Простейший дифференциальный оператор 
D, действуя на функцию 
y, "возвращает" первую производную этой функции:
                
Двукратное применение операции 
D позволяет получить вторую производную функции 
y(x):
                
Аналогично, 
n-ая степень оператора 
D приводит к 
n-ой производной:
                
Здесь мы предполагаем, что функция 
y(x) является 
n раз дифференцируемой и определенной на множестве действительных чисел. Сама функция 
y(x) может принимать комплексные значения.
                
                Дифференциальные операторы могут иметь и более сложный вид − в зависимости от образующих их дифференциальных выражений.
                
                Так например, в векторном анализе часто встречается 
дифференциальный оператор набла, определяемый как
                
где 

 − единичные векторы вдоль координатных осей 0
x, 0
y, 0
z.
                
                В результате действия оператора ∇ на 
скалярное поле F, мы получаем 
градиент поля 
F:
                
Вектор градиента указывает направление наибольшего возрастания функции 
F, а его длина показывает скорость возрастания функции в данном направлении.
                
                
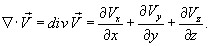
Скалярное произведение вектора ∇ и 
векторного поля 
 известно как 
дивергенция вектора 

:
                
В результате 
векторного произведения векторов ∇ и 

 мы получаем 
ротор вектора 

:
                
Скалярное произведение 
∇·∇ = ∇2 соответствует скалярному дифференциальному оператору, называемому 
оператором Лапласа или 
лапласианом. Он обозначается также символом Δ:
                
Упомянем еще один дифференциальный оператор второго порядка − 
оператор Д'Аламбера. Этот оператор обозначается в виде квадрата 

 и используется в теории относительности, электромагнетизме и других областях физики. В четырехмерном пространстве-времени 
(t, x, y, z) он представляется дифференциальным выражением
                
где Δ − оператор Лапласа.
                
                Введение дифференциальных операторов позволяет исследовать дифференциальные уравнения в терминах 
теории операторов и 
функционального анализа. Такой обобщенный подход оказывается мощным и эффективным. В частности, в приложении к линейным дифференциальным уравнением 
n-го порядка мы получаем компактный способ записи уравнений, а в некоторых случаях − возможность их быстрого решения.
                
                  Дифференциальный оператор L(D)
                
Рассмотрим линейное дифференциальное уравнение 
n-го порядка:
                
Используя оператор дифференцирования 
D, это уравнение можно записать в виде
                
где 
L(D) − 
дифференциальный многочлен, равный
                
Другими словами, оператор с представляет собой алгебраический многочлен, в котором роль переменной играет дифференциальный оператор 
D.
                
                Рассмотрим некоторые свойства введенного оператора 
L(D).
                
                      1) Оператор 
L(D) является линейным:
                
В случае нескольких операторов 
L(D), 
M(D) и 
N(D) (степень этих дифференциальных многочленов может быть различной) справедливы также следующие свойства:
                
                      2) Коммутативный закон сложения:
                
      3) Ассоциативный закон сложения:
                
Для операторов 
L(D) и 
M(D) можно ввести также и операцию умножения:
                
Важно отметить, что операция умножения обладает коммутативностью лишь для 
дифференциальных операторов с постоянными коэффициентами, т.е. для операторов вида
                
где 
a1,..., an − постоянные числа.
                
                Для таких операторов выполняются свойства 4-6:
                
                      4) Коммутативный закон умножения:
                
      5) Ассоциативный закон умножения:
                
      6) Дистрибутивный закон умножения относительно сложения:
                
Отметим также еще одно полезное свойство оператора 
D:
                
                      7) 
DmDn = Dm+n.
                
                Как видно, 
дифференциальные операторы L(D) с постоянными коэффициентами обладают такими же свойствами, что и обычные алгебраические многочлены. Следовательно, также как и алгебраические многочлены, дифференциальные операторы 
L(D) с постоянными коэффициентами можно умножать, разлагать на множители или делить. Указанные свойства лежат в основе 
операторного метода решений дифференциальных уравнений.