|
|
|
|
Неравенство Бесселя и равенство Парсеваля
|
|
Неравенство Бесселя
Рассмотрим кусочно непрерывную функцию f (x), заданную в интервале [−π, π]. Ее разложение в ряд Фурье имеет вид
В неравенстве Бесселя устанавливается, что
Отсюда следует, что ряд  сходится.
Равенство Парсеваля
Если f (x) является квадратично интегрируемой функцией в интервале [−π, π], так что выполняется соотношение
то неравенство Бесселя становится равенством. В этом случае справедлива формула Парсеваля:
Формула Парсеваля в комплексной форме
Снова предположим, что f (x) является квадратично интегрируемой функцией в интервале [−π, π]. Пусть cn − ее комплексные коэффициенты Фурье, то есть
где
Тогда формула Парсеваля записывается в виде
Заметим, что энергия 2 π-периодической волны f (x) равна
|
|
Пример 1
|
|
Вычислить сумму ряда  . Указание: применить формулу Парсеваля к функции f (x) = x.
Решение.
Разложение в ряд Фурье функции f (x) = x в интервале [−π, π] имеет вид
(Смотрите пример 3 на странице Определение ряда Фурье и типичные примеры.)
Здесь коэффициенты Фурье имеют следующие значения:  (поскольку функция f (x) = x нечетная) и  . Используя формулу Парсеваля. получаем
Отметим, что  называется дзета-функцией Римана ζ (s). Таким образом, мы доказали, что  .
|
|
Пример 2
|
|
Применить формулу Парсеваля к функции  .
Решение.
В примере 4 на странице Определение ряда Фурье и типичные примеры было найдено разложение функции  в ряд Фурье в интервале [−π, π]:
где
Записывая равенство Парсеваля для этой функции, получаем
Ряд  известен как дзета-функция Римана ζ (s). Следовательно,
|
|
Пример 3
|
|
Применяя формулу Парсеваля к функции
найти суммы рядов  .
Решение.
Разложение данной функции в ряд Фурье имеет вид (попробуйте найти это самостоятельно):
Коэффициенты Фурье в этом разложении равны
Применяя к данной функции равенство Парсеваля
получаем
Несложно также найти и сумму ряда  :
Здесь  (смотрите пример 1 выше). Следовательно,
|
|
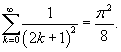
Пример 4
|
|
Вычислить сумму ряда  .
Решение.
В предыдущей задаче было найдено, что
Полагая  , получаем
Можно заметить, что
Следовательно,
Тогда сумма ряда равна
|
|
|
|