|
|
|
|
Знакопеременные ряды. Абсолютная и условная сходимость
|
|
Числовой ряд, содержащий бесконечное множество положительных и бесконечное множество отрицательных членов, называется знакопеременным. Частным случаем знакопеременного ряда является знакочередующийся ряд, то есть такой ряд, в котором последовательные члены имеют противоположные знаки.
Признак Лейбница
Для знакочередующихся рядом действует достаточный признак сходимости Лейбница.
Пусть {an} является числовой последовательностью, такой, что
1. an+1 < an для всех n;
2.  .
Тогда знакочередующиеся ряды  и  сходятся.
Абсолютная и условная сходимость
Ряд  называется абсолютно сходящимся, если ряд  также сходится.
Если ряд  сходится абсолютно, то он является сходящимся (в обычном смысле). Обратное утверждение неверно.
Ряд  называется условно сходящимся, если сам он сходится, а ряд, составленный из модулей его членов, расходится.
|
|
Пример 1
|
|
Исследовать на сходимость ряд  .
Решение.
Применим достаточный признак Лейбница для знакочередующихся рядов. Получаем
поскольку  . Следовательно, данный ряд сходится.
|
|
Пример 2
|
|
Исследовать на сходимость ряд  .
Решение.
Попробуем применить признак Лейбница:
Видно, что модуль общего члена не стремится к нулю при n → ∞. Поэтому данный ряд расходится.
|
|
Пример 3
|
Определить, является ли ряд  абсолютно сходящимся, условно сходящимся или расходящимся?
Решение.
Применяя признак Даламбера к ряду, составленному из модулей соответствущих членов, находим
Следовательно, данный ряд сходится абсолютно.
|
|
Пример 4
|
Определить, является ли ряд  абсолютно сходящимся, условно сходящимся или расходящимся?
Решение.
Сначала воспользуемся признаком Лейбница и найдем предел  . Вычислим этот предел по правилу Лопиталя:
Таким образом, исходный ряд расходится.
|
|
Пример 5
|
|
Исследовать на сходимость ряд
Решение.
Общий член данного ряда равен  . Применим признак Даламбера к ряду  , составленному из модулей:
Следовательно. исходный ряд сходится абсолютно.
|
|
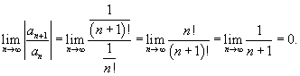
Пример 6
|
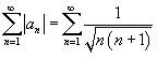
Исследовать, является ли ряд  абсолютно сходящимся, условно сходящимся или расходящимся?
Решение.
Применяя признак Лейбница, видим, что ряд является сходящимся:
Рассмотрим теперь сходимость ряда  , составленного из модулей соответствующих членов. Используя интегральный признак сходимости, получаем
Следовательно исходный ряд  сходится условно.
|
|
Пример 7
|
Определить, является ли ряд  абсолютно сходящимся, условно сходящимся или расходящимся?
Решение.
Сначала применим признак Лейбница:
Следовательно, данный ряд сходится. Выясним, является ли эта сходимость абсолютной или условной. Воспользуемся предельным признаком сравнения и сравним соответствующий ряд из модулей  с расходящимся гармоническим рядом  :
Поскольку ряд  , составленный из модулей, расходится, то исходный знакочередующийся ряд является условно сходящимся.
|
|
|
|